Аэромобиль. Летающий автомобиль.

Thread moderators: Сергей Кувшинов
Сильно не надейтесь. Схема "тандема" не даёт в полной мере использовать механизацию крыла, дистанция взлёта будет ощутимо большой. Иначе - надо площадь крыльев наращивать.
А у него нет механизации крыла
 
Добрый день Вячеслав!

Почему Вы решили, что колеса, тем более такие огромные, как у аэромобиля будут торчать в потоке? Почему Вы решили, что передние, врочем так же как и задние, колесные ниши не будут иметь створок?

Скорости, относительно самолета-подобия уменьшены: крейсерская скорость 310-320 км/ч. против 190 KIAS (351,88 км/ч.) 75% Cruise Speed, мощность двигателей увеличена: 400 л.с. против 310 л.с. Оптимизм весьма осторожный.
И куда эти створки, закрывающие колесные ниши, денуться при движении по земле? Сделаете "авианоги"? Или будете ваять нечто подобное Делориану из "Назад в будущее"?

А можно еще раз про "самолет-подобие"?
Спасибо
 
Схема "тандема" не даёт в полной мере использовать механизацию крыла, дистанция взлёта будет ощутимо большой.

А у него нет механизации крыла

Совместная работа авиадвигателей (400 л.с.) на воздушные винты и тяговых электродвигателей (335 л.с.) на четыре ведущие колеса задней оси позволяет осторожно надеятся на весьма скорое достижение скорости около 140 км.ч., по достижению которой значение механизации крыла уже не столь велико.

После отрыва, для увеличения скорости набора высоты, возможна совместная работа авиадвигателей (370 л.с.) и генераторов в режиме электродвигателей (261 л.с.) до полного исчерпания емкости буферной АКБ, с последующим восстановлением емкости в процессе крейсерского полета.

Подробности совместной работы авиадвигателей, генерараторов в режиме электродвигателей и тяговых электродвигателей изложены в сообщении от 29 мая.
 
И куда эти створки, закрывающие колесные ниши, денуться при движении по земле?

Уважаемый Вячеслав!

Спасибо за очень значимый вопрос! Вопрос означающий, что Вы внимательно рассмотрели эскизы из которых следует, что место для классических откидывающихся вниз створок занято повернутым вдоль фюзеляжа пакетом крыльев.

Под сиденьями пилотов и пассажиров оставлено пространство около 10 см., в котором планируется разместить перемещающиеся в направлящих (вдоль фюзеляжа) створки колесных ниш.

Приношу свои извинения за то, что сразу не приподнял на 5 см колеса вверх, для обозначения пространства в котором перемещаются створки, это моя недоработка.

А можно еще раз про "самолет-подобие"?

Самолет-подобие Cessna P210N Centurion.
 
Возникла необходимость в дополнении и уточнении центровочной ведомости

Постоянные моменты при центровке

1 Воздушные винты 40 кгс 0,05 м. 2 кгс*м

2 Муфты 10 кгс 0,11 м. 1,1 кгс*м

3 Двигатели 225 кгс 0,48 м. 108 кгс*м

6 Рулевая рейка с усилителем 14 кгс 0,95 м. 13,3 кгс*м

7 Генераторы с системой охлаждения 87 кгс 1,00 м. 87 кгс*м

8 Буферная АКБ 89 кгс 1,15 м. 102,35 кгс*м

9 Электрическая система 95 кгс 1,45 м. 137,75 кгс*м

10 Узлы навески переднего крыла 40 кгс 1,50 м. 60 кгс*м

11 Переднее крыло 252 / 20 х 10 = 126 кгс 1,55 м. 195,3 кгс*м

12 Исполнительные механизмы передн. крыла 18 кгс 1,80 м. 32,4 кгс*м

13 Отопление и вентиляция 30 кгс 1,90 м. 57 кгс*м

14 Педали передних кабин 4 кгс 2,50 м. 10 кгс*м

15 Фюзеляж с отделкой 315 кгс 2,90 м. 913,5 кгс*м

16 Приборы передних кабин 20 кгс 3,05 м. 61 кгс*м

17 Топливная система 30 кгс 3,15 м. 94,5 кгс*м

18 Система управления передних кабин 4 кгс 3,30 м. 13,2 кгс*м

22 Исполнительные механизмы заднего крыла 18 кгс 5,30 м. 95,4 кгс*м

23 Узелы навески заднего крыла 40 кгс 5,60 м. 224 кгс*м

24 Заднее крыло 252 / 20 х 10 = 126 кгс 5,65 м. 711,9 кгс*м

25 Тяговые электродвигатели с инверторами 98 кгс 5,69 м. 557,62 кгс*м

28 Вертикальное оперение 20 кгс 6,10 м. 122 кгс*м

Вес 1449 кгс Момент 3599,32 кгс*м

Переменные моменты при центровке (шасси убрано)

4у Пневматики передней оси (убрано) 36 кгс 2,64 м. 95,04 кгс*м

5у Подвеска передней оси (убрано) 100 кгс 2,28 м. 228 кгс*м

26у Задняя подвеска (убрано) 112 кгс 5,33 м. 596,96 кгс*м

27у Пневматики задней оси (убрано) 88 кгс 5,14 м. 452,32 кгс*м

Вес 336 кгс Момент 1372,32 кгс*м

Переменные моменты при центровке (шасси выпущено)

4в Пневматики передней оси (выпущено) 36 кгс 0,63 м. 22,68 кгс*м

5в Подвеска передней оси (выпущено) 100 кгс 0,77 м. 77 кгс*м

26в Задняя подвеска (выпущено) 112 кгс 5,99 м. 670,88 кгс*м

27в Пневматики задней оси (выпущено) 88 кгс 6,10 м. 536,8 кгс*м

Вес 336 кгс Момент 1307,36 кгс*м

Переменные моменты при центровке (100% топлива, 250 литров)

19 Топливо 195 кгс 3,35 м. 653,25 кгс*м

Вес 195 кгс Момент 653,25 кгс*м

Переменные моменты (20% топлива, 50 литров)

19 Топливо 39 кгс 3,35 м. 130,65 кгс*м

Вес 39 кгс Момент 130,65 кгс*м

Переменные моменты (1 человек в передней кабине)

20 Пилоты передних кабин 90 кгс 3,40 м. 306 кгс*м

Вес 90 кгс Момент 306 кгс*м

Переменные моменты (2 человека в передней кабине)

20 Пилоты передних кабин 180 кгс 3,40 м. 612 кгс*м

Вес 180 кгс Момент 612 кгс*м

Переменные моменты (1 человек в задней кабине)

21 Пассажиры задних кабин 90 кгс 4,50 м. 405 кгс*м

Вес 90 кгс Момент 405 кгс*м

Переменные моменты (2 человека в задней кабине)

21 Пассажиры задних кабин 180 кгс 4,50 м. 810 кгс*м

Вес 180 кгс Момент 810 кгс*м



Предельная задняя центровка​

Шасси убрано, 100% топлива, 2 человека в передней кабине, 2 человека в задней кабине.

3599,32 + 1372,32 + 653,25 + 612 + 810 / 1449 + 336 + 195 + 180 + 180 = 3,01 м.

Вес аэромобиля: 2340 кг. (максимальный взлетный).

Промежуточная задняя центровка​

Шасси убрано, 100% топлива, 2 человека в передней кабине.

3599,32 + 1372,32 + 653,25 + 612 / 1449 + 336 + 195 + 180 = 2,89 м.

Вес аэромобиля: 2160 кг.

Промежуточная передняя центровка​

Шасси выпущено, 20% топлива, 2 человека в передней кабине.

3599,32 + 1307,36 + 130,65 + 612 / 1449 + 336 + 39 + 180 = 2,82 м.

Вес аэромобиля: 2004 кг.

Предельная передняя центровка​

Шасси выпущено, 20% топлива, 1 человек в передней кабине.

3599,32 + 1307,36 + 130,65 + 306 / 1449 + 336 + 39 + 90 = 2,79 м.

Вес аэромобиля: 1914 кг.
 
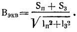
У «тандема», для определения требуемой центровки, удобно условно привести эту компоновку к более привычной для понимания нормальной аэродинамической схеме с условным эквивалентным крылом.

изображение_2023-06-01_211555550.png

В связи с простотой расчетных формул и принятой хорде крыла в 1 м., при которой размах крыла и его площадь численно не различаются, и при этом всякое число разделенное на такое же число дает единицу, появляется возможность ввести понятие группы вариантов размахов крыла Х/Х, при которой размах и площадь переднего и заднего крыла одинаковы.

Нагрузка на крыло самолета-подобия Cessna P210N Centurion составляет 111,8 кг/м.кв.

Нагрузка на крыло самолета-подобия Beechcraft Baron составляет 125,1 кг/м.кв.

Расчитаем варианты размаха и площади переднего и заднего крыла:

Вариант 9/8​

Переднее крыло имеет размах 9 м., заднее крыло имеет размах 8 м. При хорде 1 м, общая площадь крыльев составляет 17 кв.м.

При предельной задней центровке и весе 2340 кг, нагрузка на крыло составит 137,65 кг/м.кв.

При промежуточной задней центровке и весе 2160 кг, нагрузка на крыло составит 127,06 кг/м.кв.

При промежуточной передней центровке и весе 2004 кг, нагрузка на крыло составит 117,88 кг/м.кв.

При предельной передней центровке и весе 1914 кг, нагрузка на крыло составит 112,59 кг/м.кв.

Вариант 9/8,5​

Переднее крыло имеет размах 9 м., заднее крыло имеет размах 8,5 м. При хорде 1 м, общая площадь крыльев составляет 17,5 кв.м.

При предельной задней центровке и весе 2340 кг, нагрузка на крыло составит 133,71 кг/м.кв.

При промежуточной задней центровке и весе 2160 кг, нагрузка на крыло составит 123,43 кг/м.кв.

При промежуточной передней центровке и весе 2004 кг, нагрузка на крыло составит 114,51 кг/м.кв.

При предельной передней центровке и весе 1914 кг, нагрузка на крыло составит 109,37 кг/м.кв.

Вариант 9/9 (группа вариантов Х/Х)​

Переднее и заднее крыло имеют одинаковый размах 9 м. При хорде 1 м, общая площадь крыльев составляет 18 кв.м.

При предельной задней центровке и весе 2340 кг, нагрузка на крыло составит 130 кг/м.кв.

При промежуточной задней центровке и весе 2160 кг, нагрузка на крыло составит 120 кг/м.кв.

При промежуточной передней центровке и весе 2004 кг, нагрузка на крыло составит 111,33 кг/м.кв.

При предельной передней центровке и весе 1914 кг, нагрузка на крыло составит 106,33 кг/м.кв.

Вариант 10/9,5​

Переднее крыло имеет размах 10 м., заднее крыло имеет размах 9,5 м. При хорде 1 м, общая площадь крыльев составляет 19,5 кв.м.

При предельной задней центровке и весе 2340 кг, нагрузка на крыло составит 120 кг/м.кв.

При промежуточной задней центровке и весе 2160 кг, нагрузка на крыло составит 110,77 кг/м.кв.

При промежуточной передней центровке и весе 2004 кг, нагрузка на крыло составит 102,77 кг/м.кв.

При предельной передней центровке и весе 1914 кг, нагрузка на крыло составит 98,15 кг/м.кв.

Вариант 10/10 (группа вариантов Х/Х)​

Переднее и заднее крыло имеют одинаковый размах 10 м.При хорде 1 м, общая площадь крыльев составляет 20 кв.м.

При предельной задней центровке и весе 2340 кг, нагрузка на крыло составит 117 кг/м.кв.

При промежуточной задней центровке и весе 2160 кг, нагрузка на крыло составит 108 кг/м.кв.

При промежуточной передней центровке и весе 2004 кг, нагрузка на крыло составит 100,2 кг/м.кв.

При предельной передней центровке и весе 1914 кг, нагрузка на крыло составит 95,7 кг/м.кв.

Вариант 11/10,5​

Переднее крыло имеет размах 11 м., заднее крыло имеет размах 10,5 м. При хорде 1 м, общая площадь крыльев составляет 21,5 кв.м.

При предельной задней центровке и весе 2340 кг, нагрузка на крыло составит 108,84 кг/м.кв.

При промежуточной задней центровке и весе 2160 кг, нагрузка на крыло составит 100,46 кг/м.кв.

При промежуточной передней центровке и весе 2004 кг, нагрузка на крыло составит 93,21 кг/м.кв.

При предельной передней центровке и весе 1914 кг, нагрузка на крыло составит 89,02 кг/м.кв.

Вариант 11/11 (группа вариантов Х/Х)​

Переднее и заднее крыло имеют одинаковый размах 11 м. При хорде 1 м, общая площадь крыльев составляет 22 кв.м.

При предельной задней центровке и весе 2340 кг, нагрузка на крыло составит 106,36 кг/м.кв.

При промежуточной задней центровке и весе 2160 кг, нагрузка на крыло составит 98,18 кг/м.кв.

При промежуточной передней центровке и весе 2004 кг, нагрузка на крыло составит 91,09 кг/м.кв.

При предельной передней центровке и весе 1914 кг, нагрузка на крыло составит 87 кг/м.кв.
 
Центровка, как и в случае нормальной схемы, должна лежать в пределах 15...25% Вэкв (хорды условного эквивалентного крыла), которая находится по следующей формуле:
изображение_2023-06-01_211908849.png

Вариант 9/8​
Вэкв = 9 + 8 / √9^2 + 8^2 = 1,4118 м
Вариант 9/8,5​
Вэкв = 9 + 8,5 / √9^2 + 8,5^2 = 1,4136 м
Вариант 10/9,5​
Вэкв = 10 + 9,5 / √10^2 + 9,5^2 = 1,4137 м
Вариант 11/10,5​
Вэкв = 11 + 10,5 / √11^2 + 10,5^2 = 1,4138 м
Группа вариантов Х/Х (на примере варианта 10/10)​
Вэкв = 10 + 10 / √10^2 + 10^2 = 1,4142 м.



При этом расстояние от 0,25% Всах переднего крыла до носка эквивалентной хорды находится по следующей формуле:

изображение_2023-06-01_212023397.png

К - коэффициент, учитывающий разность углов установки крыльев, скосы и торможение потока за передним крылом,находится по следующей формуле:

изображение_2023-06-01_212045957.png

по материалам: Серьезнов А., Кондратьев В.. «В небе Тушина — СЛА» Моделист-Конструктор 1988 г. №3 стр 11, Кондратьев В.П. Яснопольский Л.Ф. «Самолет – своими руками» 1993 г. стр 118-120.

Вариант 9/8​

К = 1 + 0,07 х 2 / (0,9 + 0,2 х 1/4,1) х (1 – 0,02 х 9/8) = 1,2291994

Хэкв = 4,1 / 1 + 9/8 х 1,2291994 – 9 + 8 / 4 х √9^2 + 8^2 = 1,37 м.

Точка 0,25% Всах переднего крыла имеет координату 1,35 м по продольной оси, соответственно носок эквивалентного крыла будет иметь координату 1,35 + 1,37 = 2,72 м.

0,25% Всах эквивалентного крыла крыла будет иметь координату: 2,72 + 1,4118*0,25 = 3,07 м.

При предельной задней центровке 3,01 м запас устойчивости составит: 3,07-3,01 = 0,06 м, что составит 0,06/1,4118 = 4% хорды эквивалентного крыла.

При предельной передней центровке 2,79 м запас устойчивости составит: 3,07-2,79 = 0,28 м, что составит 0,28/1,4118 = 20% хорды эквивалентного крыла.

Вариант 9/8,5​

К = 1 + 0,07 х 2 / (0,9 + 0,2 х 1/4,1) х (1 – 0,02 х 9/8,5) = 1,2275373

Хэкв = 4,1 / 1 + 9/8,5 х 1,2275373 – 9 + 8,5 / 4 х √9^2 + 8,5^2 = 1,43 м.

Точка 0,25% Всах переднего крыла имеет координату 1,35 м по продольной оси, соответственно носок эквивалентного крыла будет иметь координату 1,35 + 1,43 = 2,78 м.

0,25% Всах эквивалентного крыла крыла будет иметь координату: 2,78 + 1,4136*0,25 = 3,13 м.

При предельной задней центровке 3,01 м запас устойчивости составит: 3,13-3,01 = 0,12 м, что составит 0,12/1,4136 = 8% хорды эквивалентного крыла.

При предельной передней центровке 2,79 м запас устойчивости составит: 3,13-2,79 = 0,34 м, что составит 0,34/1,4136 = 24% хорды эквивалентного крыла.

Вариант 10/9,5​

К = 1 + 0,07 х 2 / (0,9 + 0,2 х 1/4,1) х (1 – 0,02 х 10/9,5) = 1,227382

Хэкв = 4,1 / 1 + 10/9,5 х 1,227382 – 10 + 9,5 / 4 х √10^2 + 9,5^2 = 1,43 м.

Точка 0,25% Всах переднего крыла имеет координату 1,35 м по продольной оси, соответственно носок эквивалентного крыла будет иметь координату 1,35 + 1,43 = 2,78 м.

0,25% Всах эквивалентного крыла крыла будет иметь координату: 2,78 + 1,4137*0,25 = 3,13 м.

При предельной задней центровке 3,01 м запас устойчивости составит: 3,13-3,01 = 0,12 м, что составит 0,12/1,4137 = 8% хорды эквивалентного крыла.

При предельной передней центровке 2,79 м запас устойчивости составит: 3,13-2,79 = 0,34 м, что составит 0,34/1,4137 = 24% хорды эквивалентного крыла.

Вариант 11/10,5​

К = 1 + 0,07 х 2 / (0,9 + 0,2 х 1/4,1) х (1 – 0,02 х 11/10,5) = 1,22726

Хэкв = 4,1 / 1 + 11/10,5 х 1,22726 – 11 + 10,5 / 4 х √11^2 + 10,5^2 = 1,44 м.

Точка 0,25% Всах переднего крыла имеет координату 1,35 м по продольной оси, соответственно носок эквивалентного крыла будет иметь координату 1,35 + 1,44 = 2,79 м.

0,25% Всах эквивалентного крыла крыла будет иметь координату: 2,79 + 1,4138*0,25 = 3,14 м.

При предельной задней центровке 3,01 м запас устойчивости составит: 3,14-3,01 = 0,13 м, что составит 0,13/1,4138 = 9% хорды эквивалентного крыла.

При предельной передней центровке 2,79 м запас устойчивости составит: 3,14-2,79 = 0,35 м, что составит 0,35/1,4138 = 25% хорды эквивалентного крыла.

Группа вариантов Х/Х (на примере варианта 10/10)​

К = 1 + 0,07 х 2 / (0,9 + 0,2 х 1/4,1) х (1 – 0,02 х 10/10) = 1,22606369

Хэкв = 4,1 / 1 + 10/10 х 1,22606369 – 10 + 10 / 4 х √10^2 + 10^2 = 1,49 м.

Точка 0,25% Всах переднего крыла имеет координату 1,35 м по продольной оси, соответственно носок эквивалентного крыла будет иметь координату 1,35 + 1,49 = 2,84 м.

0,25% Всах эквивалентного крыла крыла будет иметь координату: 2,84 + 1,4142*0,25 = 3,19 м.

При предельной задней центровке 3,01 м запас устойчивости составит: 3,19-3,01 = 0,18 м, что составит 0,18/1,4142 = 13% хорды эквивалентного крыла.

При предельной передней центровке 2,79 м запас устойчивости составит: 3,19-2,79 = 0,4 м, что составит 0,4/1,4142 = 28% хорды эквивалентного крыла.
 
Вариант 9/8 имеет наименьшую смачиваемую поверхность, что облегчает достижение максимальной скорости полета. Производства полетов с использованием варианта 9/8 возможно лишь опытным и подготовленным пилотом, постоянно готовым к остановке двигателя, флюгированию воздушного винта и продолжению полета (совершению вынужденной посадки) на одном двигателе с использованием генератора в качестве электродвигателя. Наиболее вероятным представляется использование варианта для перелета двух пилотов при нагрузке на крыло 127,06 кг/м.кв.

Вариант 9/8,5 так же имеет малую смачиваемую поверхность и высокую управляемость (уменьшенную продольшую устойчивость), это позволяет получить конфигурацию предназначенную для пилота с пилотажными амбициями.

Вариант10/9,5 сочетает полную пассажировместимость с высокой управляемостью.

Вариант 10/10 представляется наиболее сбалансированным для каждодневного использования и максимально широкого круга задач.

Вариант 11/11 предоставляет возможность перевозки пассажиров с большой массой тела или достижение максимальной дистанции с дополнительными топливными баками.
 
Первый вариант с центровкой был лучше, этот - слишком передняя получилась.
 
нагрузка на крыло составит
Вы только учтите, что у переднего крыла нагрузка на площадь будет одна, а у заднего другая. При этом для статической продольной устойчивости по перегрузке (по углу атаки) Сy переднего крыла всегда должен быть больше, чем заднего.
 
Первый вариант с центровкой был лучше, этот - слишком передняя получилась.

Уважаемый Железяка!

Сообщите цифры пожалуйста! Какая центровка Вам больше нравится, и почему? Какая центровка Вам видится оптимальной? Почему?

Как Вы относитесь ко субьективному мнению, что тандемы не сваливаются в штопор, а парашютируют? Если Вы разделяете это мнение, значит ли это, что срывные характеристики профилей крыла для тандема особенного значения не имеют?
 
При этом для статической продольной устойчивости по перегрузке (по углу атаки) Сy переднего крыла всегда должен быть больше, чем заднего.

Уважаемые Друзья!

Прошу Вас высказать свое мнение на тему: "Особенности летного поведения тандемов", в особенности в части мнения, что "тандемы не сваливаются в штопор при потере скорости, а парашютируют".

Вопрос проистекает из практического интереса в выборе профиля крыла аэромобиля.

По моему мнению, определяющими параметрами крыла являются: площадь, размах, хорда, удлинение, форма крыла в плане (сужение), относительная тощина профиля, координата наибольшей толщины профиля.

Площадь крыла, в связи ее с нагрузкой на крыло, уже предложена к обсуждению.

Размах, хорда и удлинение крыла определены конструкционно, необходимостью хранения крыла в дорожной конфигурации в положении «под и над фюзеляжем», при том, что часть длины фюзеляжа занята автомобильной подвеской.

Степень сужения крыла будет определена при детальном аэродинамическом проектировании, но представляется, что значение сужения при скоростях до 400 км.ч. не очень велико (могу ошибаться, поправьте).

Хотя невозможность применения каких либо гребней и винглетов на крыле с изменяемой стреловидностью вполне может увеличить значение степени сужения крыла как средства борьбы с концевыми вихрями,

Стреловидность крыла управляется пилотом в зависимости от условий полета.

Относительная толщина видится в пределах 15-18% и будет определена расчетами на прочность и вес крыла.

Идеологически закладывается возможность управления углом атаки крыла, во всем диапазоне кривой Су(а) для каждого крыла отдельно и вне зависимости от положения фюзеляжа.

Таким образом, при достижении конкретным крылом срывного угла атаки, нет необходимости аэродинамически изменять положение всего аэромобиля, достаточно уменьшить угол атаки данного крыла.

Такая возможность позволяет говорить о доступности для аэродинамического управления всего диапазона углов атаки аэродинамического профиля крыла.

Возникает два взаимодополняющих фактора летного поведения крыла: минимальное сопротивление крыла на скорости крейсерского полета и срывные характеристики крыла на критических углах атаки.

Для большинства профилей доступных к ознакомлению и использованию, эти два фактора являются антагонистами

Возникает вопрос: можно ли, на фоне неясных слухов и разговоров уровня «ББС» о том, что "тандемы не сваливаются в штопор при потере скорости, а парашютируют" приоритетным фактором считать минимальное сопротивление крыла на скорости крейсерского полета?

Можно ли говорить о том, что тандем, как аэродинамическая схема, уменьшает резкость свала, сглаживает его?

Обнаружить значимые материалы подтверждающие или опровергающие это предположение не удалось. Буду благодарен на указание на таковые.

Если таковых не обнаружится, прошу Вас высказать свое мнение о том, какое значение координаты наибольшей толщины профиля крыла позволяет говорить о минимальном конфликте между минимальным сопротивлением крыла и плавными срывными характеристиками.

Верно ли я понимаю, что уменьшение координаты наибольшей толщины профиля улучшает срывные характеристики профиля крыла, а увеличение координаты – уменьшает сопротивление.
 
Сообщите цифры пожалуйста! Какая центровка Вам больше нравится, и почему? Какая центровка Вам видится оптимальной? Почему?

Как Вы относитесь ко субьективному мнению, что тандемы не сваливаются в штопор, а парашютируют? Если Вы разделяете это мнение, значит ли это, что срывные характеристики профилей крыла для тандема особенного значения не имеют?

Центровка, какая мне нравится 😆 , составляет 15-33% САХ (эквивалентной в данном случае).
"Тандемы" и "утки" "не сваливаются" в штопор, если это в них заложено конструктивно, есть такое понятие - пассивная безопасность. Поэтому, то на этих "типах" и не возможно реализовать в полной мере возможности механизации. И не срывные характеристики, а момент кручения, т.е. "гуляние" ЦД профиля, который как раз и влияет очень сильно на "оные"(в зависимости от профиля). Штопор, кстати, можно получить конструктивно, есть для этого определённые моменты (как для "классики", так и для "оных").
 
"Тандемы" и "утки" "не сваливаются" в штопор, если это в них заложено конструктивно, есть такое понятие - пассивная безопасность.

Уважаемый Железяка!

Умоляю Вас чуть-чуть разверните положение: "если это в них заложено конструктивно"! Или укажите источник Великого Знания о том, что нужно сделать конструктивно что бы тандем не сваливался в штопор!
 
Центровка, какая мне нравится 😆 , составляет 15-33% САХ (эквивалентной в данном случае).

Таким образом, опираясь на Ваше мнение, наиболее оптимальным выбором комплекта крыльев аэромобиля представляется набор с равными размахами переднего и заднего крыла: 9/9, 10/10 и 11/11.

Вариант 9/9 представляется применимым для достижения максимальной скорости полета, вариант 10/10 представляется наиболее универсальным и вариант 11/11 применим для достижения максимального веса полезной нагрузки.

В связи с тем, что хорда крыла определена в 1 м., размахи и площади крыльев числено равны. Как следствие все варианты крыльев имеют одинаковый запас устойчивости в 13-28% САХэкв.

Для увеличения запаса устойчивости необходимо увеличивать площадь заднего крыла, вариант 10/11 дает запас устойчивости 18-33% САХэкв.

Вариант 10/11 представляется применимым для полетов в возмущенной атмосфере.

Для уменьшения запаса устойчивости необходимо уменьшать площадь заднего крыла, вариант 10/9 дает запас устойчивости в 5-20% САХэкв.

Вариат 10/9 представляется применимым для пилотажных полетов под управлением высококвалифицированного пилота.
 
Умоляю Вас чуть-чуть разверните положение: "если это в них заложено конструктивно"! Или укажите источник Великого Знания о том, что нужно сделать конструктивно что бы тандем не сваливался в штопор!
Что сделать конструктивно для исключения штопора - это всё уже давно "разжёвано" в учебниках по динамике полёта. Это касается и "уток", и "тандемов".
Кроме того, на "утках" и "тандемах" конструктивно закладывают угол установки переднего крыла (ПГО) больше заднего, чтобы срыв начинался на переднем, а самолёт опускал нос и пикировал - увеличивал скорость (тот самый "знаменитый клевок"). При этом, очень сильно влияет перемещение ЦД по хорде крыла, т.е. ещё зависит и от крыльевого профиля. Т.е. эти схемы давольно "замысловаты", нужно изучать "матчасть" и калибровать по натурным испытаниям (хотя бы моделей). У нас эти схемы мало исследовались (кто-то, когда-то сказал, что они не летают), так что придётся перенимать зарубежный опыт, Рутана в частности.
 
Кроме того, на "утках" и "тандемах" конструктивно закладывают угол установки переднего крыла (ПГО) больше заднего, чтобы срыв начинался на переднем, а самолёт опускал нос и пикировал - увеличивал скорость (тот самый "знаменитый клевок")
Клевок у земли тоже недопустим. Как надо делать - дают представление рутановские утки с прямоугольным ПГО, характеризующимся большим удлинением и большей нагрузкой на площадь, чем крыло. У них, насколько я понимаю, срыв развивается во-первых на передней плоскости, во-вторых плавно, в-третьих от корня (ибо прямоугольная форма). И в-четвёртых, с частично сорванным ПГО практически невозможно загнать аппарат на такие углы атаки, чтобы был полный срыв. Поэтому никакого резкого клевка.
 
Уважаемые Друзья!

Я ранее уже писал, что я не расцениваю приходящие в голову мысли и идеи, как плод своего труда и свою интелектуальную собственность. Я не обладаю необходимыми прикладными знаниями, что могло бы позволить мне говорить, что то, что я пишу в своих сообщениях создано мной.

Но оно там есть и, промучившись сомнениями в легкой фантастичности мыслей, все же решил их опубликовать.

Практической социальной цели эти идеи не преследуют, и скорей предназначенны для развлечения публики на аэрошоу.

Я уже писал, что скоординированное управление углами установки и углами стреловидности четырех независимых плоскостей без системы управления аэромобилем с перемещением плоскостей посредством электрического привода с обратной связью по положению (сервоприводом) в составе электродистанционной системы управления (ЭДСУ) невозможно.

Таким образом, формально, необходимости в нахождении пилота на борту нет. Аэромобиль вполне может выполнять полетное задание автономно, или управлятся пилотом дистанционно.

В выстраивании идеологии аэромобиля я тщательно избегал идеи выполнения сложного пилотажа.

Но, по мере формирования все более конкретного образа аэромобиля, пришло понимание, что ему будут доступны фигуры, недоступные никаким другим самолетам.

В сообщении от 18 марта я писал об многоуровневой, «по пилоту», структуре управления. Буду вынужден почти полностью повторить описание третьего, наивысшего уровня управления.

На третьем уровне изделие управляется ДВУМЯ боковыми ручками управления самолетом ОДНОВРЕМЕННО. К РУС расположенной СЛЕВА от пилота и управляющей ЗАДНИМ крылом, прибавляется РУС расположенная СПРАВА от пилота, и управляющая ПЕРЕДНИМ крылом.

Одновременное разнонаправленное отклонение ПЕРЕДНЕГО крыла на пикирование и ЗАДНЕГО крыла на кабрирование дает возможность потери высоты с требуемой вертикальной скоростью БЕЗ ротации фюзеляжа и с минимальным набором горизонтальной скорости. Согласованное положение ПЕРЕДНЕГО и ЗАДНЕГО крыла дает возможность удержания изделия в предпосадочном положении на любом требуемом протяжении глиссады, позволяя тонко настроить вертикальную скорость, тягу двигателя и положение изделия без совершения эволюций непосредственно перед касанием.

Одновременное разнонаправленное отклонение ПЕРЕДНЕГО крыла на кабрирование и ЗАДНЕГО крыла на пикирование дает возможность набора высоты с требуемой вертикальной скоростью БЕЗ ротации фюзеляжа и с минимальной потерей горизонтальной скорости.

СТРАШНО предположить, какие кувырки, перевороты и сальто способно совершить изделие будучи акробатическим самолетом, но подобные согласованные отклонения аэродинамических рулевых поверхностей будут прямо запрещены в Руководстве, и вероятнее всего, будут ограничены Системой управления самолетом, как минимум сопровождаться выраженной сигнализацией.

Мысленные образы сальто вперед и назад, выполняемые аэромобилем, не шли у меня из головы несколько месяцев. Сальто, не петли, а именно сальто, их неожиданность и красота, исполнили меня решимости в случае достижения проектом этапа расчета прочности, поставить перед разработчиком задачу наделения аэромобиля возможностью выполнения сложного пилотажа.

При формировании весовой и центровочной ведомостей, на одну независимую плоскость длиной 4,22 м. я отвел вес равный 92 кг: плоскость длиной 4,22 м – 63 кг, узел навески плоскости – 20 кг, исполнительные механизмы управления углами установки и стреловидности – 9 кг.

При этом необходимо учитывать, что при составлении ведомостей я предполагал крыло наделенное механизацией. Таким образом, можно говорить, что вес элементов в компоненте «плоскость крыла» может свободно перетекать от элемента к элементу.

Есть надежда, что силовая схема фюзеляжа, предполагающая восприятие нагрузок от автомобильного шасси при движении по дорогам общего пользования, не потребует принципиального усиления и увеличения веса фюзеляжа.

Но сальто, не самое фантастичное, что пришло мне на ум.

Представьте элемент пилотажа: аэромобиль теряет скорость, балансирует на остатках несущей способности крыльев без ротации фюзеляжа (фюзеляж горизонтален), начинает парашютировать, разворачивает крылья крестообразно, как лопасти четырехлопастного винта, устанавливает углы установки скоординированно, подобно лопастям винта и начинает вращаться в парашютировании.

Достигнув определенной скорости вращения, система управления аэромобилем, меняет угол установки плоскостей на противоположный, останавливает вращение, увеличивает тягу, пикирует и выходит из элемента.

Все то же несложно представить и при обратном пилотаже, при перевернутом полете.

Так же представляется совершенно фантастическая связка элементов, при достаточной высоте и не одна.

Все это аэромобиль вполне способен выполнить полностью автономно, согласно плана полета выполняемого системой управления аэромобилем, без пилота. Пилоту будет достаточно дистанционно вывести аэромобиль в пилотажную зону, запустить план полета и принять управление после его выполнения.

Я полностью отдаю себе отчет, что эта идея не может быть воспринята, даже осмыслена, без определенной технической и социальной смелости.

Но если уважаемые оппоненты не смогут мне аргументированно доказать, что выполнение аэромобилем данных элементов пилотажа, назовем их: «сальто вперед», «сальто назад», «прямая мельница» и «обратная мельница» технически невозможно, то я обязуюсь опубликовать видение еще более фантастичного конструктива аэромобиля и реализуемых этим конструктивом пилотажных элементов.

При этом совершенно не обязательно говорить об выполнении предлагаемых к обсуждению элементов в конфигурации полноценного аэромобиля. В пилотажной конфигурации у него может не быть полноценного автомобильного шасси, буферной аккумуляторной батареи, генераторов, тяговых электродвигателей, ни одного пилота в кабинах, пилотских кресел, минимально необходимый запас топлива, пилотажный комплект крыльев минимальной площади и со специфическими, именно пилотажными, параметрами.

Все эти меры дадут возможность превратить аэромобиль в пилотажный самолет. Превратить на время, полностью обратимо.

Приехать на аэрошоу как аэромобиль, трансформироваться для пилотажа, выполнить его, транформироваться в аэромобиль и улететь с аэрошоу.
 
Но сальто, не самое фантастичное, что пришло мне на ум.
Представьте элемент пилотажа: аэромобиль теряет скорость, балансирует на остатках несущей способности крыльев без ротации фюзеляжа (фюзеляж горизонтален), начинает парашютировать, разворачивает крылья крестообразно, как лопасти четырехлопастного винта, устанавливает углы установки скоординированно, подобно лопастям винта и начинает вращаться в парашютировании.
Тогда вам нужно применять симметричный профиль крыла.

Клевок у земли тоже недопустим. Как надо делать - дают представление рутановские утки с прямоугольным ПГО,
Совершенно верно. С этим ни кто и не спорит.
 
Назад
Вверх