• Вышел новый выпуск программы ФлайтТВ, посвященный современным российским ЮПШ (юношеским планерным школам).
    Видео на Youtube. Ссылки на другие платформы и обсуждение в теме на форуме.

Маленький сюрприз от китайских моторостроителей

Порассуждаем про новые Двигатели.
Рмз 500 авиа стоит 155 тыс( и их нет на заводе), доставка к вам, к примеру вы в 500 км ТК обойдется тысяч в 8 ( давеча мне 2 уголка 30х30 полуметровых, деловые линии за 560 руб доставили на 350 км)
Новый ( если найдете) ротаксовский редуктор будет стоит в пределах 50 т.р, доставка 3. Заказать с нуля какой то иной ременный, да примерно столько же
Поженить? , ну пускай самостоятельно.
Новый ( если найдете) электростартер. Ну, не знаю. наверное 15 ? доставка 2
Резонатор новый, ну наверное за 25 найдете, доставка 2
Плита с подушками? Ну наверное за 15 вам сделают,

И что мы имеем? 275 примерно за СУ на базе РМЗ500( без винта). Говорите сами уложите под 200 ? Ну тогда вам надо быть многостаночником и все сделать с нуля. Конечно есть и такие штучные самодельщики. Ну можно купить под честное слово БУ

Вот этот с доставкой в Москву, а потом в регион можно уложить в 375. да на 100 дороже. Но может оно того стоит? Вы ведб весь список комплектующих еще попробуйте найти, имея деньги на руках. Можно и год собирать. Качество? Думается Китай много лучше
Двигатель DLE430/DLE 430, DLE-430, DLE Сверхлегкий экспериментальный двухцилиндровый встроенный двухтактный двигатель с воздушным охлаждением - купить по выгодной цене | AliExpress
 
Последнее редактирование:
Практически то же, что и УМПО 432.

2оо и 222
DLE200 продаётся давно, но фурор на парамоторном рынке не произвёл, более того, о них практически не слышно в этой сфере.
Потому что на томожне сидят (как говорит Батька белорусский) "курносые" и умножают цену где на 2где и больше пока эта рыночная бля....во не уберут так и будут на нас наживаться, вон реклама на на флайт тв эндоскоп самый бюджетный 9т₽ сын мне в Казахстане купил за 4т тэнгэ, разделите на 6....
С того же алиэкспресс
 
314 т.р на алиэкспресс в комплектации полный фарш( электр стартер, резонатор, редуктор, подушки крепления и тд). Бомба
Реально, это будет под 450.000 руб. С учётом таможни ( как авиазапчасти и комплектующие ) и доставки. К тому же, заказать сами Вы его не сможете ( свыше 125 кубиков - товар двойного назначения ). Придётся просить жителя Китая работающего/учащегося в России заказать его на себя.
Потом, не забывайтесь, что это чистокровный китаец ( не лицензионная "копия" )... Кто-то может сказать: " это действующая модель, ... одноразового применения". Да, соглашусь, в данном варианте использования - это наилучшее предложение. Ресурс этих изделий в разы меньше, чем у других, менее доступных моторов.
Хотя, конечно, с него останутся неплохие и работоспособные навесные агрегаты, но пока ещё есть варианты поискать другие б/у моторы.
 
Реально, это будет под 450.000 руб.
Впрочем, если действовать не "в лоб" и попытаться договориться с производителем на отправку "запчастей для садовой техники", то блок мотора без обвесных агрегатов может выйти не так дорого. Редуктор заказать отдельной посылкой (?)

Однако, с учётом степени конструктивного "совершенства" этого творения; металла отливок блока и редуктора; необходимого объёма доработки системы охлаждения ( для выравнивания температур цилиндров ), на мой вкус, для пилотируемых применений, "овчинка выделки не стоит"...
 
Последнее редактирование:
Недавно заходил один весьма известный в СЛАшном мире человек, а ныче уже известный БЛАшник, и увидев на столе DLE сказал:
-О-о, китайский мотор, ресурс 5 часов! Плавали, знаем! 🙂 (сам закупал "Вернеры" и ZDZ)
 
О-о, китайский мотор, ресурс 5 часов!
- Преуменьшает известный человек. ЕМНИП у подобных моторов только обкатка 30 ч. Те, которые с генератором и водяным охлаждением - позиционируются продавцами как вполне надёжная СУ (long endurance). Ну и опять же: может, не надо пытаться взять от них 110%. А взять 90%. Или даже того меньше. Две-три лошади с килограмма вместо четырёх - всё ещё очень неплохо.
 
Последнее редактирование:
PS
С чужих слов - не бывает ресурса после 7000 об/мин. Может, и не надо гонять 7 тыщ, даже если у него номинал за 8, как у того генератора?
 
  • Мне нравится!
Reactions: ASI
DLA- он и сделан основательнее на вид, исполнение явно БЛАшное, а не авиахоббийное, но цены-совершенно негуманные, и простым людЯм они неинтересны.
 
Вообще, правильная обкатка может быть ключевым местом в том, что касается ресурса. Причём DLE предлагает обкатывать прямо на ЛА* или на специальном стенде, чтобы вибрации демпфировались и не "возвращались" двигателю.

* - угу, воображаю, как ему позволяют колбаситься на модели, у которой соединения под честное слово.
 
Я написал конкретно про Ротаксы, причём тут РМЗ?!
Потрудитесь почитать руководство по эксплуатации хоть 582-го!
 
Я написал конкретно про Ротаксы, причём тут РМЗ?!
Зачем нервничать? Давайте вместе смотреть.
РМЗ 500/550 чем отличается конструктивно/качественно от Ротакс 503? Или это не двухтактник?
Потрудитесь почитать руководство по эксплуатации хоть 582-го!
Потрудился.
Не поверите, не нашел информации об обкатке ни об одном из четырех двухтактников. Наверно там выделено, а я не вижу?
om2.pdf (aviagamma.ru)
Интернет имеет свойство хранить много чего, поэтому нашел другие источники.
Вот что пишет одно и изданий:
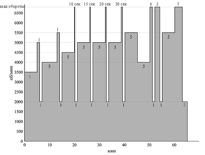
Полное опробование двигателя выполняется в соответствии с графиком, изображенным на Схеме 1, в следующих случаях:
1) На новом двигателе.
2) После выполнения капитального ремонта двигателя.
3) После выполнения текущего ремонта, связанного с заменой узлов и деталей цилиндро-поршневой группы и коленчатого вала.

И дает график режимов и времени
f3f04e67.jpg

Вот как он выглядит.
Вы почти угадали - 70 минут.
Мне кажется, что РМЗешники перестраховались, программируя блок.
Очень разнорежимная программа.

f3f04e67.jpg

Да, и вот была веточка об этом же
обкатка после ремонта Rotax | REAA
 
Не подскажите документ производителя, подтверждающий , что двухтактные Ротаксы прошли сертификацию как авиационные моторы? Писанину, рекламу, в том числе и от торгующих организаций и единичных личностей на разных сайтах со словом "авиационный", просьба не приводить. Дайте отсылку на документ.
Я встречал , что только 582 удовлетворяет нормам Light Sport Aircraft Norm ASTM. И отнюдь не FAR -33
 
Не подскажите документ производителя, подтверждающий , что двухтактные Ротаксы прошли сертификацию как авиационные моторы? Писанину, рекламу, в том числе и от торгующих организаций и единичных личностей на разных сайтах со словом "авиационный", просьба не приводить. Дайте отсылку на документ.
Я встречал , что только 582 удовлетворяет нормам Light Sport Aircraft Norm ASTM. И отнюдь не FAR -33

001.jpg
 
Назад
Вверх