• Вышел новый выпуск программы ФлайтТВ, посвященный современным российским ЮПШ (юношеским планерным школам).
    Видео на Youtube. Ссылки на другие платформы и обсуждение в теме на форуме.

Вентиляторные СУ, вентилятор в воздушном канале(ducted fan)

У свободного винта так и происходит. А у винта в трубе нет. Сожмете сопло в мышиный глаз, станет истечение с недорасширением(стат давление струи выше атмосферного) и тяга упадёт. Увеличите сечение сопла, струя будет истекать с перерасширением и тоже потеряете в тяге. Хотя винт будет дуть и молотить как и прежде.
Только сейчас заметил, что насчёт винта в трубе наши точки совпадают. Поэтому моё сообщение 1.118 прошу игнорировать как казус по невнимательности.
 
Но для винта в трубе это не так: форма трубы может повлиять на итоговую тягу. Например, расширение ьрубы, увеличение ее сечения может тягу снизить, а сужение увеличить. Косой срез без всяких изгибов отклонит вектор и тд.
Только сейчас заметил, что насчёт винта в трубе наши точки совпадают. Поэтому моё сообщение 1.118 прошу игнорировать как казус по невнимательности.
А я поддержу точку зрения в Вашем сообщении...
Воздух за пропеллером "связан" с пропеллером тем, что оказывает давление на него. Изменится параметр потока - изменится ( скорость, угол атаки ) давление на пропеллер. Изменится нагрузка на пропеллер и его обороты.. И практика это подтверждает.
В зарубежной литературе по импеллерам можно встретить термин "solidity". Его можно перевести как твёрдость, устойчивость, жёсткость. ( Так же, это "плотность лопастей", "покрытие лопастей". Это отношение проекций площадей лопастей к площади сечения в месте установки вентилятора (пропеллера). В отечественной литературе известно как "коэффициент покрытия"). На мой взгляд, термин твёрдость в полном объёме характеризует свойство вентилятора, связывающее его параметры с параметрами потока.
Пульсации потока в канале аэродинамической трубы замкнутого типа, в момент разгона потока, однозначно вызывают изменение нагрузки на вентилятор и "плавание" оборотов мотора. Даже у свободного пропеллера, при набегании ветра или изменении направления обдувки плоскости вращения пропеллера меняются обороты.
 
Последнее редактирование:
Если рассмотреть слой воздуха продвигающийся вдоль оси патрубка, то первой начнёт затормаживаться нижняя часть этого слоя. Возмущение от этого торможения передаётся "вверх" (по картинке) со скоростью звука и достигает верхней стенки патрубка на некотором удалении от нижнего среза (в горизонтальном измерении). При повседневных скоростях потока и достаточно остром угле среза, картинка распределения давлений будет приблизительно такой:Посмотреть вложение 527766

Соответственно, верхняя часть патрубка будет испытывать давление "вверх" и двигаться туда, то есть ответ будет А. Если же скорость потока такова, что возмущение от торможения сносится потоком вправо быстрее, чем оно поднимается вверх, то никакого давления снизу на верхнюю часть патрубка не будет и отклонения тоже.
Вот! Вы обьсняете отклонение торможкнием, я же газодинамическими силами ввзывающими повлрот потока. Хотя там все взаимосвязанно и отделять одно от другого неаерно, как разделять Бернулли и Ньютона в создании подьемной силы(обсуждать сие не стану). Критическое сечение это перпендикуляр от "короткой" стороны среза на "длиную", а выходного сечения гипотенуза соединяющая крайние точки обеих сторон канала. Т.о. получается, что площадь выходного сечения больше критического и это получается вариант аэроспайка/клинового сопла. сопла Лаваля. Вектором тяги будет в идеале перпендикуляр к выходному сечению. И здесь реактивная, сила, сила тяги приложена именно к срезу сопла, как, впрочем, и в классическом сопле тоже. Если исходить из Вашей с геноссе Ивановым "теории давления". За срезом классического сопла поток тоже начинает тормозится, просто по всему периметру и начинает, соответственно на сопло давить. 😉
Но теория давления кажется верной лишь пока мы рассматриваем дозвуковых скоростях. Потому что при сверхзвуковом полете все торможение и скачки давлееия распространяются только по потоку и на сопло, ЛА влияния не оказывают. Как Вы же выразились, "возмущение от торможения сносится потоком вправо". Поэтому для сверхзвука "давление на лопатки" и даже сопло не подходит. Только скорость и масса! Только хардкор! 😆
Имху
 

"Все уже "украдено"...до нас..."©
Что характерно, ни слова про давление, а все через скорость и массу. 😉
Если перевернуть векторы скоростей и считать, что винт отдает энергию потоку, то получим картину работы воздушного винта. А если примем сечения потока за сечения канала, то получим картину для импеллера в трубе.))
Имху
 
=ветряк это только для наглядности,

хотелось бы опробовать соосный вентилятор,но не "один за другим"
а "один в другом"=нпр. 0,2 м и 0,6 м ...

-на модели 0,7 /1,3 м (без тоннеля) получили хороший результат !
 
=ветряк это только для наглядности,

хотелось бы опробовать соосный вентилятор,но не "один за другим"
а "один в другом"=нпр. 0,2 м и 0,6 м ...

-на модели 0,7 /1,3 м (без тоннеля) получили хороший результат !
Я не берусь предсказать, что получится. Пробуйте. Свое мнение я ранее высказал. Неоднократно.
 
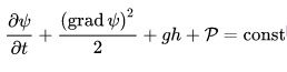
В моём понимании, полное давление содержит в себе и скорость и массу и статику. Потому. наиболее полно описывает физическое явление - движение воздушного потока, в его различных формах.
Я приводил ссылку на опыты демонстрирующие явления в трубе с поворотом. Если объяснение этого явления давать с механистической позиции массы х скорость, то получим противоречие с опытом. Силы инерции ( у частиц потока ведь есть масса ) "должны" отбрасывать массу на внешнюю стенку и там должна быть и скорость больше, чем на внутренней стенке. Однако, влияние давления, вносит существенную коррективу в течение.
Что подходит для движения в поворотном отрезке трубы ( замкнутый объём ), не подходит для "свободного" вращения вихря в барабане...

*****
формула_Бернулли.jpg

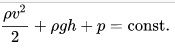
Вот, мне не даёт покоя один вопрос: что это за число после знака равенства - const (?) ...

Это полная энергия некоторой системы взаимодействующих "тел" ( поток жидкости или газа ). В этом виде записан Закон Сохранения Энергии рассматриваемый в величинах плотности, давления, скорости, ускорения, протяжённости ( высоты ). В таком виде формализованной записи удобно рассматривать течение газообразных и жидких сред. Потому, по сложившейся традиции, мы применяем эту формулу.
Однако, эта ( довольно сложная для понимания школьниками и студентами начальных курсов ) формула оказывается слишком примитивной и недостаточной для описания более комплексного, сложного явления потока жидкости или газа. Например, когда течение происходит не только в поле сил гравитации, но и сильных электромагнитных взаимодействий. Или при скоростях, превышающих скорость звука, когда добавляются сильные тепловые взаимодействия, сильно меняется плотность газа и объём. Для формализованной записи сложного явления, потребуется ещё более сложная формула...

Здесь, давление уже будет зависить от изменения плотности среды.

формула_Бернулли_1.jpg

И выражение Закона Сохранения Энергии примет вид:
формула_Бернулли_3.jpg

Если скорость, так же зависит от характера течения -
формула_Бернулли_4.jpg

то выражение Закона принимает вид:
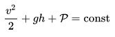
формула_Бернулли_2.jpg

В попытке более общего описания сложных взаимозависимых процессов течения мы снова приходим к "простой" формуле:
формула_Бернулли_5.jpg

А теперь, скажите, приблизило это к пониманию того, что будет происходить в предложенном случае ( сообщение # 1.120 )?
Куда отклонится "лепесток" среза гибкого патрубка на выходе потока?


Чтобы описать, понять и предсказать результат простого физического опыта нужно либо обладать виртуозным знанием математики и всего формализованного аппарата записи набора простых физических явлений с помощью всевозможных "крючков".... Либо провести простой физический эксперимент.
При сложных явлениях, бывает так, что ни первого, ни второго не достаточно... Тогда строят "Коллайдеры", годами пишут дисспертации и выступают на международных симпозиумах с докладами, обсуждениями и т.п., пытаясь прийти к единому мнению...


Давайте придём к единому пониманию, что куда отклонится ( или не отклонится ) и почему?
Без убегания на сверхзвуковые скорости... На вполне вразумительной для нас скорости полёта 250 км/ч и повышением давления за вентилятором в 1,03- 1,06 атм.
 
Последнее редактирование:
Я приводил ссылку на опыты демонстрирующие явления в трубе с поворотом. Если объяснение этого явления давать с механистической позиции массы х скорость, то получим противоречие с опытом. Силы инерции ( у частиц потока ведь есть масса ) "должны" отбрасывать массу на внешнюю стенку и там должна быть и скорость больше, чем на внутренней стенке.
С чего это Вы так считаете, что скорость на большем радиусе изогнутой трубя будет увеличиваться?
 
В моём понимании, полное давление содержит в себе и скорость и массу и статику. Потому. наиболее полно описывает физическое явление - движение воздушного потока, в его различных формах.
Я приводил ссылку на опыты демонстрирующие явления в трубе с поворотом. Если объяснение этого явления давать с механистической позиции массы х скорость, то получим противоречие с опытом. Силы инерции ( у частиц потока ведь есть масса ) "должны" отбрасывать массу на внешнюю стенку и там должна быть и скорость больше, чем на внутренней стенке. Однако, влияние давления, вносит существенную коррективу в течение.
Что подходит для движения в поворотном отрезке трубы ( замкнутый объём ), не подходит для "свободного" вращения вихря в барабане...

*****
Посмотреть вложение 527854
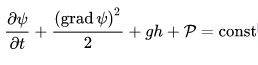
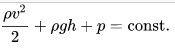
Вот, мне не даёт покоя один вопрос: что это за число после знака равенства - const (?) ...

Это полная энергия некоторой системы взаимодействующих "тел" ( поток жидкости или газа ). В этом виде записан Закон Сохранения Энергии рассматриваемый в величинах плотности, давления, скорости, ускорения, протяжённости ( высоты ). В таком виде формализованной записи удобно рассматривать течение газообразных и жидких сред. Потому, по сложившейся традиции, мы применяем эту формулу.
Однако, эта ( довольно сложная для понимания школьниками и студентами начальных курсов ) формула оказывается слишком примитивной и недостаточной для описания более комплексного, сложного явления потока жидкости или газа. Например, когда течение происходит не только в поле сил гравитации, но и сильных электромагнитных взаимодействий. Или при скоростях, превышающих скорость звука, когда добавляются сильные тепловые взаимодействия, сильно меняется плотность газа и объём. Для формализованной записи сложного явления, потребуется ещё более сложная формула...

Здесь, давление уже будет зависить от изменения плотности среды.

Посмотреть вложение 527855
И выражение Закона Сохранения Энергии примет вид:
Посмотреть вложение 527856
Если скорость, так же зависит от характера течения -
Посмотреть вложение 527857
то выражение Закона принимает вид:
Посмотреть вложение 527859
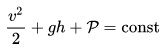
В попытке более общего описания сложных взаимозависимых процессов течения мы снова приходим к "простой" формуле:
Посмотреть вложение 527860
А теперь, скажите, приблизило это к пониманию того, что будет происходить в предложенном случае ( сообщение # 1.120 )?
Куда отклонится "лепесток" среза гибкого патрубка на выходе потока?


Чтобы описать, понять и предсказать результат простого физического опыта нужно либо обладать виртуозным знанием математики и всего формализованного аппарата записи набора простых физических явлений с помощью всевозможных "крючков".... Либо провести простой физический эксперимент.
При сложных явлениях, бывает так, что ни первого, ни второго не достаточно... Тогда строят "Коллайдеры", годами пишут дисспертации и выступают на международных симпозиумах с докладами, обсуждениями и т.п., пытаясь прийти к единому мнению...


Давайте придём к единому пониманию, что куда отклонится ( или не отклонится ) и почему?
Без убегания на сверхзвуковые скорости... На вполне вразумительной для нас скорости полёта 250 км/ч и повышением давления за вентилятором в 1,03- 1,06 атм.
Цоавнение Бернулли описывает течение жидкости и газа БЕЗ внешних воздействий. Помянутые случаи течения в жлмагнитном поле, в вентиляторе ПЕРЕДАЮЩЕМ энергию потоку и тд ПРОСТЫМ уравнением Бернулли не описываются. Можно описывпть им ЧАСТИ потока, наприпер ДО вентилятора и ПОСЛЕ, но это будут две РАЗНЫЕ константы. Численно.
А косое сопло отклониться вверх конечно. По причине отклонения вектора тяги вниз изза повлрота потока. Что показывает, что реактивная сила приложенна к соплу, а не вентилятору. О чем и был этот пример.
Поаышение давления за вентилятором преобразуется в увеличение скорости потока, что и ведет к возникновению тяги. Для более полного преобразования давления в скорость канал/сопло сужают. У Малиша так и сделано на его Мечтателе.
Имху
 
Что показывает, что реактивная сила приложенна к соплу, а не вентилятору
Давайте еще раз 😉

Если реактивная сила приложена к косому соплу, то она должна быть приложена и к прямому тоже. Tак ведь?
Тогда почему тканевые рукава на Вашем видео не складываются гармошкой вдоль своей оси?
1.png



И целиком рукав тоже не вдавливается в тело "человечка". Наблюдаются только лишь "переломы" от недостатка напора.


2.png


Если поддать потока побольше, то рукава, ноги и весь человек просто надуются и всё. 😉
 
Если поддать потока побольше, то рукава, ноги и весь человек просто надуются и всё.
Даже если на концевые срезы рукавов надеть легкие жесткие пластиковые конусы-сопла картина не изменится.
 
Даже если на концевые срезы рукавов надеть легкие жесткие пластиковые конусы-сопла картина не изменится.
А, на мой взгляд, - изменится. Давление внутри возрастёт ( если конус сужается к выходу ). Это аналогично "поддать давления" = расход увеличить.
На площадь кольца ( равную проекции на перпендикуляр к оси ) разности диаметров конуса будет действовать сила давления, направленная "на выход". Рукав натянется сильнее.
Если конус сделать расширяющимся, то давление будет действовать в сторону, противоположную потоку, и рукав "сморжопится". Если сила трения в рукаве окажется меньше силы давления на конус, рукав будет складываться и хаотически трепыхаться под действием давления на конусе.
 
Изменится. Давление внутри возрастёт ( если конус сужается к выходу ).
Я не имел в виду сильно зауженные конусы. Если присмотритесь внимательно к картинке из видео, то заметите, что рукава слегка сужаются от тела к срезу. Вот такое сужение и подразумевалось, хотя я согласен, что можно было бы выразиться яснее. Кроме того, я имел в виду картину при "увеличенном напоре" (я там специально процитировал свою же оговорку "Если поддать потока побольше..." которой у Вас в сообщении нету), при котором фигурка не складывается от недостаточно энергичного потока. В третьих, повторю свою мыслю еще раз: при увеличении напора воздуха, вся фигура выпрямится, разгладитсяи как бы "надуется" но при этом рукава её не будут складываться вдоль, что свидетельствет о том, что к ним реактивная сила не приложена. И именно эта картина с "прямыми рукавами" не изменится, даже если надеть пластиковые "соплы" на концы рукавов имитируя пожарный шланг. На них все равно не появится реактивная сила. То есть сослаться на то, что срез рукава мягкий, поэтому он не сминается вдоль - не будет возможным.
 
Последнее редактирование:
Назад
Вверх