Насущные вопросы авиастроения. Философия. Эмоции. Жалобы

Смотрел фильм "Кошмарный бизнес" Александра Рогаткина на Вести24 . Там в том числе и про фирму "ОКБ Ротор", который создавал вертолеты и этот бизнес ушел в Китай.

[media]https://www.youtube.com/watch?v=YKecUjZ5hC4[/media]
 
Электронная версия журнала "Крылья Родины" №11-12 (ноябрь-декабрь) за 2017 год.

Ссылка для скачивания на ОБЛАКО@MAIL.RU:https://cloud.mail.ru/public/MELp/bH9hFKUJR

Ссылка для скачивания на ЯндексДиск: https://yadi.sk/i/PonLJjSl3QbGoi
 
Прогноз развития технологий создания гибридных и электрических авиационных силовых установок


«Электрификация» является сегодня одним из ведущих направлений в авиастроении: с ней связывают снижение расходов топлива, вредных выбросов, повышение надёжности авиационной техники. Формирование обликов гибридных и электрических силовых установок (СУ), исследования их эффективности в составе летательных аппаратов (ЛА), разработка и испытания демонстраторов технологий – вот неполный перечень задач, над которыми работают специалисты Центрального института авиационного моторостроения имени П.И. Баранова (ЦИАМ, входит в НИЦ «Институт имени Н.Е. Жуковского»), сообщает пресс-служба института.
Исследователи ЦИАМ провели анализ ключевых технологий, необходимых для создания гибридных и электрических силовых установок, и на основании экспертных оценок сделали прогноз по их развитию до 2035 года.
За последние годы произошёл качественный прорыв в повышении удельных характеристик электрических машин, что связано прежде всего с появлением мощных редкоземельных постоянных магнитов и высокочастотной силовой электроники. Уже сейчас в промышленности выпускаются электродвигатели и электрогенераторы, обладающие удельной мощностью 5-6 кВт/кг и КПД на уровне 96%. «Через 10 лет ожидается увеличение удельной мощности в два раза – до 10-12 кВт/кг и увеличение КПД до 98%», – делится выводами исследований начальник отдела ЦИАМ Антон Варюхин.
Использование электрических двигателей для привода воздушных винтов или вентиляторов позволяет создавать принципиально новые концепции летательных аппаратов, например, различные многороторные схемы ВКЛА (винтокрылые летательные аппараты), обеспечивающие укороченный взлёт и посадку.
Наибольшую сложность вызывает вопрос источников электрической энергии.
«К сожалению, несмотря на все достигнутые успехи, уровень ёмкости современных аккумуляторов достаточен пока лишь для коротких развлекательных полётов или обучения, но не обеспечивает создание полностью электрических коммерческих летательных аппаратов с требуемой дальностью и продолжительностью полёта, – заключает Антон Варюхин. – Прогнозы разработчиков показывают, что к 2030 году уровень ёмкости не превысит 400 Вт*ч/кг. Этого будет достаточно только для довольно ограниченного класса летательных аппаратов типа аэротакси».




В области электрохимических источников энергии наибольшие перспективы имеют твёрдополимерные водородные топливные элементы (ТПТЭ). Наилучшие обладают удельной мощностью 2кВт/кг. Но сложности вызывает вопрос хранения водорода. Сейчас наилучшие системы хранения сжатого водорода при давлении 700 атмосфер обеспечивают удельную энергию всей системы, включающей ТПТЭ и систему хранения, на уровне 700-800 Вт*ч/кг. Это существенно больше ёмкости современных аккумуляторов. Перспективным является хранение водорода в жидком состоянии. По оценкам, хранение водорода в криогенных сосудах может обеспечить удельную энергию системы на уровне 3000 Вт*ч/кг.
Большинство разработчиков сегодня ведут исследования в области создания гибридных СУ, то есть таких, которые характеризуются наличием двух или более источников энергии на борту ЛА. Одним из них может быть аккумулятор, другим – генератор, приводимый во вращение газотурбинным двигателем.
Ряд исследователей сходятся во мнении, что 2 МВт – это предельная мощность для традиционных электрических машин. «Для дальнейшего увеличения мощности требуется использовать в конструкции двигателя сверхпроводящие материалы, – рассказывает Антон Варюхин. – Например, ЦИАМ в сотрудничестве с компанией «СуперОкс» — лидером в области создания ВТСП-лент (высокотемпературные сверхпроводники) разрабатывает гибридную СУ на базе электромотора на сверхпроводниках. В ближайшие годы запланированы её наземные испытания, а в 2020 году – лётные».
Можно спрогнозировать, что в 2030 году единичная мощность сверхпроводниковых электрических машин составит не менее 2МВт при удельной мощности 10-12 кВт/кг, с учётом криогенной системы охлаждения. А к 2035 году мощность достигнет уровня 5МВт при удельной мощности 20 кВт/кг.
Заместитель Председателя Правительства РФ Дмитрий Рогозин отметил важность разработки ЦИАМ, посетив во время работы МАКС-2017 стенд Института. Демонстратор электрической (гибридной) силовой установки стал объектом повышенного интереса журналистов, гостей и участников авиакосмического салона.
Справка
ФГУП «ЦИАМ им. П.И. Баранова» – единственная в стране научно-исследовательская организация, осуществляющая комплексные научные исследования и научное сопровождение разработок в области авиадвигателестроения – от фундаментальных исследований физических процессов до совместной работы с ОКБ по созданию, доводке и сертификации новых двигателей, в том числе наземных газотурбинных установок. Все отечественные авиационные двигатели создавались при непосредственном участии института и проходили доводку на его стендах.
На фото: гибридно-электрический двигатель ЦИАМ, МАКС-2017 / (с) Андрей Величко, Авиация России

В области электрохимических источников энергии наибольшие перспективы имеют твёрдополимерные водородные топливные элементы (ТПТЭ). Наилучшие обладают удельной мощностью 2кВт/кг. Но сложности вызывает вопрос хранения водорода. Сейчас наилучшие системы хранения сжатого водорода при давлении 700 атмосфер обеспечивают удельную энергию всей системы, включающей ТПТЭ и систему хранения, на уровне 700-800 Вт*ч/кг. Это существенно больше ёмкости современных аккумуляторов. Перспективным является хранение водорода в жидком состоянии. По оценкам, хранение водорода в криогенных сосудах может обеспечить удельную энергию системы на уровне 3000 Вт*ч/кг.
Большинство разработчиков сегодня ведут исследования в области создания гибридных СУ, то есть таких, которые характеризуются наличием двух или более источников энергии на борту ЛА. Одним из них может быть аккумулятор, другим – генератор, приводимый во вращение газотурбинным двигателем.
Ряд исследователей сходятся во мнении, что 2 МВт – это предельная мощность для традиционных электрических машин. «Для дальнейшего увеличения мощности требуется использовать в конструкции двигателя сверхпроводящие материалы, – рассказывает Антон Варюхин. – Например, ЦИАМ в сотрудничестве с компанией «СуперОкс» — лидером в области создания ВТСП-лент (высокотемпературные сверхпроводники) разрабатывает гибридную СУ на базе электромотора на сверхпроводниках. В ближайшие годы запланированы её наземные испытания, а в 2020 году – лётные».
Можно спрогнозировать, что в 2030 году единичная мощность сверхпроводниковых электрических машин составит не менее 2МВт при удельной мощности 10-12 кВт/кг, с учётом криогенной системы охлаждения. А к 2035 году мощность достигнет уровня 5МВт при удельной мощности 20 кВт/кг.
Заместитель Председателя Правительства РФ Дмитрий Рогозин отметил важность разработки ЦИАМ, посетив во время работы МАКС-2017 стенд Института. Демонстратор электрической (гибридной) силовой установки стал объектом повышенного интереса журналистов, гостей и участников авиакосмического салона.
Справка
ФГУП «ЦИАМ им. П.И. Баранова» – единственная в стране научно-исследовательская организация, осуществляющая комплексные научные исследования и научное сопровождение разработок в области авиадвигателестроения – от фундаментальных исследований физических процессов до совместной работы с ОКБ по созданию, доводке и сертификации новых двигателей, в том числе наземных газотурбинных установок. Все отечественные авиационные двигатели создавались при непосредственном участии института и проходили доводку на его стендах.
На фото: гибридно-электрический двигатель ЦИАМ, МАКС-2017 / (с) Андрей Величко, Авиация России

Источник
 

Вложения

  • 20-12-2017-1.jpg
    20-12-2017-1.jpg
    59 КБ · Просмотры: 158
Продолжение обсуждения ветки "Кошмарный бизнес" Александра  Рогаткина.

В связи с пропажей ветки на основном форуме REAA . Можно продолжить обсуждение в разделе для болтовни.

К сожалению в связи с потерей текста, потеряна нить обсуждения. Попробую восстановить. Мы обсуждали возможность общения с чиновниками.  😱.

Раздел для флуда специфический. Кликать надо не на заголовок (Попадешь на начало). А на Время в последней колонке.-"Крайное сообщение" Попадешь на нужное сообщение.

Вопрос конечно для нас острый. Воспринимаем чиновников как кошмар в жизни. Может успокоимся? Проанализируем. Сделаем выводы. Примем чужой опыт и начнем ее использовать.
 

МАК завершил расследование авиапроисшествия с самолетом Аэропракт А-33-011, произошедшего на Алтае


Продолжаем учиться

Комиссия Межгосударственного авиационного комитета (МАК) завершила расследование авиационного происшествия с ЕЭВС самолетом Аэропракт А-33-011 RA-0818G частного лица, происшедшего 11.06.2016 в Республике Алтай. Об этом сообщает пресс-служба комитета.

"Наиболее вероятно, катастрофа ЕЭВС самолета А-33-011 RA-0818G произошла из-за выхода ВС на режим сваливания с последующим переходом в штопор", - пояснили в МАК.

Способствующими факторами, наиболее вероятно, явились:

- развитие утомления и снижение объема внимания после выполнения длительного перелета и дальнейшего выполнения полетов (рабочее время от момента первого взлета до АП составило более 13 ч);

-  отвлечение внимания КВС от контроля за скоростью полета при выполнении маневров в районе поиска;

-  неподготовленность к использованию установленной на самолете системы спасения парашютной быстродействующей БПС КС-700-О (предохранительная булавка находилась на затворе метательного механизма), позволяющей спасти экипаж вместе с самолетом при возникновении в полете аварийной ситуации при невозможности произвести аварийную посадку.

По результатам расследования разработаны рекомендации по повышению безопасности полетов.

Источник

Коммент от меня: Расследование за счет государства. Это по поводу налогов.
 

Вложения

  • 23-12-2017-10.jpg
    23-12-2017-10.jpg
    11,1 КБ · Просмотры: 158
Нашел статью годичной давности

Двигатель который ждали. Миниатюрный ГТД для малой авиации.

О проблеме легких двигателей для малой авиации, не писали разве что только в «желтой» прессе. Писали и год назад, и два года, и десять лет назад. Принимаются программы развития АОН, к разработке легких маломощных двигателей подключился Центральный институт авиационного моторостроения ЦИОМ им. А.В. Баранова. Принимаются правительством программы помощи производителям техники для АОН. Мелькают в печати и на телевидении самолеты отечественной разработки. Мелькают и пропадают. Где-то они летают, где-то их испытывают.

Только вот на полевых площадках и аэродромах АОН, по-прежнему Цессны, Робинсоны да Текнамы иноземные летают. А машины российской разработки, не считая конечно Яков, смотрятся скорее как диковинка. И, как и в предыдущие года, все говорят и пишут об отсутствии отечественного легкого двигателя. Почему бы, хотя бы не сделать, как делали в прежние, советские времена. Огромная страна не стеснялась взять  иностранный двигатель, приспособить его под возможности нашего производства, что-то улучшить, где-то потерять в качестве, но на выходе иметь наш, отечественный двигатель, который сможет послужить образцом и прототипом для целой линейки модернизированных движков. Отечественная история развития авиации, полна подобных примеров, и даже нет смысла их здесь приводить.

А где же воз?
Итак, в огромной стране, практически не осталось инфраструктуры для производства поршневых двигателей малой мощности. Таких, которые были бы способны поднять нашу малую авиацию и поставить ее что называется «на крыло».
Однако выход есть и из этой ситуации. Выход быть может не самый быстрый, и простой, но есть. Это разработка своих, отечественных микро и минидвигателей ГТД (газотурбинный двигатель).
Огромные холдинги, консорциумы и всевозможные ФГУП (кто не знает это Федеральное Государственное Унитарное Предприятие), изучают проблему, разрабатывают концептуальные проекты, создают предприятия с иностранным участием и осваивают государственные инвестиции. Вероятно, по прошествии энного количества времени мы на выходе всех этих корпоративных усилий и получим какой-то готовый продукт.

ЦИАМ ведет НИОКР
ФГУП "Центральный институт авиационного моторостроения им. П.И.Баранова" широким фронтом ведет НИОКР создания перспективных газотурбинных и поршневых двигателей в интересах разработчиков беспилотных летательных аппаратов, самолетов и вертолетов малой авиации. "АвиаПорт" приводит систематизированное изложение выступлений начальника сектора ЦИАМ (малоразмерные ГТД) Владимира Ломазова и начальника сектора ЦИАМ (ПД) Александра Костюченкова на II международной конференции "Беспилотная авиация - 2015".

«…Работы по перспективным поршневым двигателям
В России в настоящее время полностью отсутствует производство поршневых авиадвигателей для беспилотников и легких самолетов и вертолетов, что заставляет отечественных конструкторов применять авиадвигатели зарубежного производства. В связи с огромной потребностью в таких двигателях, ЦИАМ проводит НИОКР и прорабатывает проекты перспективных поршневых авиадвигателей в интересах их применения на беспилотных летательных аппаратах, легких самолетах и вертолетах».

«…Основные требования к авиадвигателям
Основными критериями при создании перспективных двигателей являлись стоимость эксплуатации, назначенный межремонтный ресурс и топливная эффективность, которые в совокупности определяют расходы на летный час. Проведенные расчеты показали, что для двигателей такого класса стоимость летного часа должна быть не более 500 рублей за час полета (без учета стоимости ГСМ), технический ресурс должен составить не менее 8000 часов. При таких показателях стоимость жизненного цикла составит 3,2 млн. рублей в сегодняшних ценах».

«…Новые технологии создания малоразмерных ГТД
ЦИАМ проводит работы по внедрению новейших технологий для снижения массы, повышения качества отдельных узлов и деталей. Подтверждено снижение себестоимости изготовления колеса компрессора почти в 20 раз против классического колеса с вставными лопатками. За счет применения современных технологий  литья цена ротора уменьшена примерно в 15-18 раз по сравнению с ротором стандартной вспомогательной силовой установки такой же размерности, которая стоит на отечественных самолетах. В качестве опытного образца изготовлен и будет испытываться на стенде стартер-генератор с возможностью раскручивания до 90 тысяч оборотов, который ставится на вал без редуктора и существенно уменьшает массу двигателя. Он обеспечивает мощность до 4 кВт и имеет массу всего лишь 700 грамм, против сегодняшних 10 кг».
(по материалам портала aviaport  httр://www.аviaport.ru/nеws/2015/05/08/338921.html


Лаборатория интеллектуальной механики "Аудит Аналитик" (АА+)
За этим интригующим названием, скрывается группа энтузиастов, которые разработали, создали, и в данный момент уже испытывают первый опытный образец микро ГТД.

Сергей Журавлев Генеральный директор, вдохновитель и генератор идей Лаборатории со своим детищем в руках.

Вот что говорит про свою команду Сергей Журавлев, Генеральный директор Лаборатория интеллектуальной механики "Аудит Аналитик" (АА+):
«Кто Мы?
Команда разработчиков моделей и прототипов сложных систем (экосистем), и алгоритмов управления ими, как в технической, так и в гуманитарной сферах.
Наши компетенции опираются на собственную концепцию организации научно-конструкторского сообщества, распределённого (сетевого) производства и непрерывного процесса совершенствования линейки высокотехнологичных продуктов в испытательно-монтажном комплексе. Мы не считаем нужным покупать станки и строить завод. В России уже так много избыточных производственных мощностей, и покупок новейшего оборудования, что их надо загружать работой».

Сергей полон оптимизма и здорового реализма, и у него есть для этого все основания.
«Нам выдался редкий шанс войти в мировую элиту производителей малых турбин. Минимизация  и  локализация,  роботизация  и  автономия – тренды XXI века, в которые пока ещё можно встроиться на равных с лидерами энергообеспечения малого авиастроения, беспилотной авиации, локальной энергетики. В России очень сильные физическая и математическая, материаловедческая и инженерная школы. Их потенциал позволяет в минимальном объёме турбины, достичь максимальных, значений эффективности, в первую очередь эксплуатационной, малыми силами и средствами».

Следует отметить, что разработка газотурбинных установок малой тяги лишь одно из направлений, которым занимается Лаборатория АА+, и этот проект полностью частный, и быть может именно поэтому после всех расчетов, проработок и проб, они имеют на выходе уже готовый опытный образец.
от так буднично, на подоконнике, на тетрадке с расчетами и схемами уместился первый опытный ГТД малой тяги марки МкА. Родоначальник серии двигателей разной мощности, которые можно будет применять в различных отраслях.
Двигатель уже проходит испытания на стенде в лаборатории. Вот некоторые его параметры, которые уже четко определены:
Основные данные опытного образца ГТД малой тяги серии МкА (микро авиационный):
Вес – 2060 гр.
Длина – 324.00 мм
Диаметр основной – 115.00 мм
Ширина с пилонами – 128.00 мм
Рабочие характеристики:
Тяга максимальная – 200 N
Тяга рабочая – 160 N
Расход топлива (на макс. тяге) – 460.00 ml\min
Используемое топливо – керосин\дизельное топливо
Максимальные скорость вращения – 120 000 об\мин

«Разработанный двигатель отличается от изучавшихся нашим КБ аналогов, конструктивом, материалами, характеристиками. А также заранее продуманной интеграцией в ряд изделий».
Дмитрий Рыбаков
заместитель директора по инновациям Группы компаний “Беспилотные системы”

В Группе компаний «Беспилотные системы» настолько уверены в перспективности серии двигателей разработки Лаборатории, что начали проектирование перспективного БПЛА специально под них.
Я абсолютно уверен, что через некоторое время, мы увидим, легкие, мощные и экономичные двигатели Лаборатории АА+ не только на легких самолетах, автожирах и вертолетах, но и на большой авиационной технике.
В заключении хотелось бы привести еще одно высказывание Сергея Журавлева:
«Наша команда решилась на разработку маленького газотурбинного двигателя с большими амбициями. Представляя его Вам, мы гордимся тем, что не копировали имеющиеся в мире аналоги, а применяя современные методы анализа и моделирования, новейшие технологии и материалы, создали сложнейшее энергетическое устройство как платформу научно-технических решений с большим потенциалом развития и диапазоном применения.
Россия, как мировой лидер авиационного двигателестроения не может остаться в стороне от революции в сфере применения малых газотурбинных силовых установок. Мы, как можем,  способствуем  становлению  нового рынка, организации исследований и отладке технологий в малых и микро энергетических системах».

Источник
 

Вложения

  • 03-01-2018-2.jpg
    03-01-2018-2.jpg
    46,2 КБ · Просмотры: 171
  • 03-01-2018-3.jpg
    03-01-2018-3.jpg
    30,8 КБ · Просмотры: 215
  • 03-01-2018-6.jpg
    03-01-2018-6.jpg
    38,5 КБ · Просмотры: 208
«Большие вызовы» для российской авиации

Стратегия научно-технологического развития (СНТР) Российской Федерации задала новые принципы стратегического планирования. Впервые сформирован перечень «больших вызовов», на которые в долгосрочной перспективе наука и промышленность должны найти ответы. И они должны отражаться в стратегиях развития различных отраслей. Для каждой отрасли необходимо выяснить, что мешает ей развиваться, а где можно найти потенциальные точки роста. Но это следует делать в увязке с глобальными вызовами и целями, описанными в СНТР, так как на первое место должны быть поставлены национальные приоритеты, а не интересы отдельных ведомств или крупных игроков.


Клочков Владислав Валерьевич
директор департамента стратегии и методологии управления созданием НТЗ ФГБУ «НИЦ Институт имени Н.Е. Жуковского»
Образование: Московский физико-технический институт, факультет аэромеханики и летательной техники, 1999.
Ученая степень: кандидат технических наук (Летно-исследовательский институт им. М.М. Громова, 2001, специальность 05.07.07 «Контроль и испытание ЛА и их систем»)
доктор экономических наук (Центральный экономико-математический институт РАН, 2007, специальность 05.02.22 «Организация производства», тема диссертации «Организационно-экономические основы обеспечения конкурентоспособности высокотехнологичных производств (на примере авиационного двигателестроения)»)

По совместительству работал в Летно-исследовательском институте им. М.М. Громова (техник, инженер отделения испытаний силовых установок, 1997-2007), в Центральном аэрогидродинамическом институте им. проф. Н.Е. Жуковского (старший научный сотрудник отдела стратегических исследований, 2005-2007), доцент кафедр Физики полета и Системных исследований МФТИ, с 2008 г. - профессор кафедры «Системы управления экономическими объектами» Московского авиационного института.

Область научных интересов:
• анализ эффективности и рисков внедрения инновационных технологий в авиастроении;
• стратегическое планирование и государственное регулирование развития авиастроения.
Более 500 научных трудов, более 10 монографий и учебных пособий.
Принимал участие в разработке программ технического перевооружения предприятий авиастроения, в разработке информационных систем поддержки принятия решений для авиастроительных и ремонтных предприятий.
Награжден Почетным знаком Союза авиапроизводителей России.

Поэтому в течение 2016-2017 гг. в НИЦ «Институт имени Н.Е. Жуковского» были проведены исследования по формированию научно обоснованного перечня вызовов научно-технологического развития авиастроения до 2040 года (такой горизонт задан нам Министерством промышленности и торговли Российской Федерации и соответствует срокам отраслевых прогнозов). Основные результаты были включены в данную книгу (https://yadi.sk/i/iDknwcXU3NtZVn).
Прежде чем перейти непосредственно к «большим вызовам», необходимо разобраться с самим термином. Анализ российских и зарубежных стратегических документов в области развития науки и технологий показал, что устоявшегося определения нет. Множественность и нечеткость трактовок грозит тем, что у каждого субъекта будет свое видение, что в дальнейшем негативно отразится на качестве руководящих документов. Это хорошо заметно на примере термина «инновации», который до сих пор часто используется ошибочно и не к месту. Поэтому мы решили посмотреть на имеющиеся определения, подвести их под общий знаменатель и внести важные, на наш взгляд, дополнения. Например, Центр стратегических разработок в экспертно-аналитическом докладе «Новая технологическая революция: вызовы и возможности для России» называет большими вызовами «совокупность проблем и возможностей, реакция на которые признается обществом и государством на данный период времени главной задачей своего развития». В самой СНТР они определены как «объективно требующая реакции со стороны государства совокупность проблем, угроз и возможностей, сложность и масштаб которых таковы, что они не могут быть решены, устранены или реализованы исключительно за счет увеличения ресурсов».
Мы считаем, что, во-первых, целесообразно ограничить круг «больших вызовов» исключительно масштабными внешними факторами, то есть угрозами и благоприятными возможностями, по классификации SWOT-анализа. Во-вторых, как верно указано в СНТР, нужно выделить такие факторы, на которые невозможно адекватно отреагировать путем простого увеличения выделяемых ресурсов (либо их недостаточно, либо затраты превосходят ожидаемый эффект), и потребуются качественные технологические изменения. Таким образом, вызовы определяют приоритеты развития технологий.
В ходе исследования были определены «большие вызовы» отдельно для гражданской авиации, авиастроения в целом и прикладной авиационной науки в частности. Россия обладает страновой спецификой, имеет свои национальные интересы. Поэтому были выделены как глобальные, так и национальные вызовы, характерные для России. Сразу оговоримся, что данный перечень не является окончательным и требует регулярной актуализации в зависимости от изменения внешних и внутренних условий.
Обратим особое внимание на специфические национальные вызовы в области авиации.
Доступность авиаперевозок и связность территорий
Первые два «больших вызова» для отечественной гражданской авиации непосредственно связаны с приоритетами СНТР, одним из которых является эффективное освоение и использование пространства. В данном случае роль авиации – ключевая, так как две трети территории России приходится на труднодоступные и малонаселенные территории, где практически отсутствует наземная инфраструктура. Ситуацию усугубляет деградация маршрутной сети авиалиний. Говорить о высоком качестве авиатранспортного обслуживания, когда значительная часть перевозок между регионами страны осуществляется через Московский и еще несколько крупнейших авиаузлов не приходится.
Чтобы это изменить, с учетом реальной и прогнозируемой социально-экономической ситуации, требуется радикально (в 2-3 раза) снизить стоимость перевозок. Иначе, как видно из рис. 1, невозможно повысить доступность услуг воздушного транспорта с нынешнего уровня, составляющего 20-30% населения, хотя бы приблизиться к уровню развитых стран мира (85-90%). Это критически важно для нашей страны как самой протяженной в мире.
Рис. 1. Зависимость доступности авиаперевозок в России от себестоимости пассажиро-километра (по данным модельных расчетов)
Внутренний рынок авиационных перевозок должен стать одним из драйверов для кардинального повышения мобильности населения и, как следствие, экономической активности. Кроме того, российская специфика диктует особые требования к перспективной авиационной технике:
- для воздушных судов местных линий пассажировместимостью 9-19 мест: расширенные условия базирования (возможность использования грунтовых посадочных площадок; возможность безопасной круглогодичной и круглосуточной эксплуатации в высоких широтах; возможность автономного технического обслуживания; по возможности – минимизация потребления авиакеросина, чрезвычайно дорогостоящего в соответствующих регионах из-за необходимости «северного завоза») и высокие показатели скорости, комфорта и топливной экономичности в крейсерском полете;
- для региональных воздушных судов: высокие показатели скорости, комфорта и топливной экономичности в крейсерском полете, а также дальности полета, приближающиеся к уровню среднемагистральных воздушных судов, но при меньшей пассажировместимости (порядка 30-70 мест) и взлетно-посадочных характеристиках, позволяющих использовать аэродромы 3-го класса.
Такие противоречивые требования невозможно выполнить исключительно субсидиями для авиакомпаний. Они выполнимы только при разработке новых технологий и новых воздушных судов, а в краткосрочной перспективе – всесторонней поддержке таких проектов, как создаваемый СибНИА ТВС-2ДТС, чтобы в короткие сроки заменить устаревающие Ан-2.
Комплексный ответ на эти «большие вызовы» окажет колоссальный позитивный эффект на экономику страны и развитие северных регионов и Дальнего Востока.
Проблемы выхода на рынки и преодоления технологического разрыва
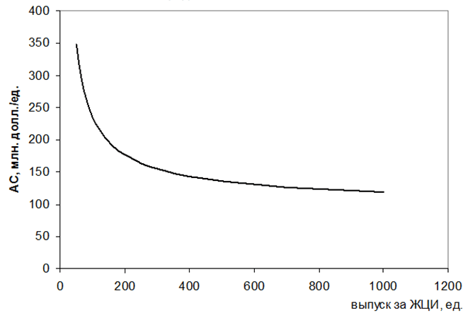
Несмотря на существенное улучшение послепродажного обслуживания, техническое перевооружение производства и разработку новых образцов, находящихся на мировом уровне по своим технико-экономическим, экологическим и другим показателям, российское авиастроение испытывает проблемы с обеспечением рентабельных объемов производства. Выход на мировой рынок для этого необходим, так как емкости внутреннего рынка (тем более с учетом его насыщения импортными моделями) недостаточно для обеспечения рентабельности разработки и производства современных образцов авиационной техники. Малая серийность означает значительные постоянные издержки, связанные с созданием технологий, разработкой образца и технологической подготовкой производства. Кроме того, не проявляются в достаточной степени эффекты обучения, позволяющие уменьшить себестоимость производства при увеличении объема выпуска.
На рис. 2 показана зависимость средних издержек на производство единицы авиационной техники от накопленного объема ее выпуска на примере магистрального самолета, полученная на основе математического моделирования. При этом для широкофюзеляжных ВС внутренний спрос в России за весь жизненный цикл может не превысить 100-200 единиц, что соответствует левой части графика и обусловливает 1,5-2-кратный проигрыш в себестоимости зарубежным конкурентам, работающим на глобальном рынке.
Рис. 2. Зависимость средней себестоимости разработки и производства единицы авиационной техники от накопленного объема выпуска этой техники (пример)
В то же время, затруднения с проникновением российского авиастроения на новые рынки или возвращением на ранее утраченные рынки обусловлены объективными экономическими факторами. Авиационная техника относится к изделиям длительного пользования, период эксплуатации коммерческих воздушных судов (ВС) составляет 20 и более лет.

Источник
 

Вложения

  • d2708_p1.png
    d2708_p1.png
    18,7 КБ · Просмотры: 169
  • d2708_p2.png
    d2708_p2.png
    10,2 КБ · Просмотры: 157
Ту-160: Властитель небес


Гражданский авиалайнер на базе ракетоносца Ту-160. Реально ли?


Есть такой самолёт - Ту-160. За красоту, за изящество полёта, и за то, что очень благородным делом занят (мирное небо наше защищает) его назвали «Белым лебедем». Участие в конструировании данного самолёта в своё время принимали КБ Мясищева, Сухого и Туполева, наибольшую интеллектуальную «лепту» внесли в проект конструкторы Мясищева. Но так как задачу надо было решать очень срочно, а наибольший опыт по проектированию и внедрению в производство тяжёлых сверхзвуковых машин (Ту-144 и семейство Ту-22) наличествовал у КБ Туполева, именно они разработали окончательный проект и выпустили самолёт в небо. 
Только США и Россия имеют подобное оружие, но именно наш, именно этот самолёт до сих пор является непревзойдённым в своём классе по целому ряду характеристик. И так как Россия снова становится одним из ведущих игроков на мировой шахматной доске,  подобные самолёты, и в немалом количестве, нам очень нужны. С одной стороны, ресурс немногочисленных Ту-160, изготовленных ещё в советское время, не бесконечен.
С другой стороны, конструкция самолёта имеет огромный запас по возможности дальнейшей модернизации. Поэтому и было решено восстановить его производство - с применением новых технологий, нового оборудования, новых подходов в проектировании и серийном производстве таких машин.
25 января 2018 года президент Росии Владимир Путин, находившийся с рабочим визитом в Казани, посетил Казанский авиационный завод им. С. П. Горбунова, где понаблюдал за первым демонстрационным полётом модернизированного Ту-160М.
Известно, что нам надо думать не только о производстве нашего вооружения, в максимально передовом его варианте и на принципах разумной достаточности, не только о производстве отдельных видов вооружения на экспорт. Надо иметь в виду и необходимость сохранения конструкторских и производственных коллективов, на случай потребности резкого наращивания вышеуказанного количества.
Поэтому и нужна разумная конверсия, которая, к тому же, была бы ещё и дополнительным стимулом для появления новых видов и образцов гражданской продукции, повышения её качества.
Видимо, ещё и в связи со всем вышесказанным, в разговоре с работниками вышеуказанного авиационного завода, наш президент выдвинул идею об одном из возможных путей будущей конверсии. А именно - после производства основного количества необходимых ВКС боевых «Белых лебедей», сконструировать и запустить в серию гражданский сверхзвуковой самолёт на базе (то есть с использованием конструкции) Ту-160.
На данном предложении хочется остановиться особо. Так, мы знаем, что в 2005 году Владимир Путин летал на Ту-160 в кресле командира экипажа. С другой стороны - довольно недавно, 14 ноября 2017-го, появилась статья «Сверхзвуковой бизнес-джет «Туполеву» пришлось бы создавать с нуля». В ней рассказывается, что заместитель гендиректора компании «Туполев» по проектированию, НИР и ОКР Валерий Солозобов как раз говорил чуть раньше, что богатые иностранцы регулярно обращаются в компанию «Туполев» с просьбами сделать личный пассажирский сверхзвуковой самолет из российских бомбардировщиков Ту-160 и Ту-22М3.
Но в компании отказываются разрабатывать такой лайнер, поскольку гораздо дешевле заново сделать его без тех технологий, которые использовались при создании ракетоносцев. К тому же, в Ту-160 есть секретные технологии. И что «компания «Туполев» может создать сверхзвуковой гражданский бизнес-джет на 20–25 пассажиров.
«Думаю, в ближайшее время реально можно сделать только административный самолет на сверхзвуке. Он был бы небольшой размерности, но с большой дальностью полета, и перевозил бы 20–25 бизнесменов за пару часов на несколько тысяч километров. Создание вот такого самолета – это реально. Возможности для этого существуют, но нужен заказчик».

А ещё в статье рассказывается о целом ряде проблем, связанных с проектированием и изготовлением гражданского сверхзвукового самолёта. В-первых, при полете на сверхзвуковой скорости образуются ударные волны, которые оказывают давление на аэродинамические характеристики лайнера. А ещё сверхзвук создает серьезный дискомфорт и для пассажиров, и даже для людей на земле, когда самолет пролетает над населенными пунктами. В итоге полеты гражданских самолетов над сушей со сверхзвуковой скоростью по международным правилам ИКАО запрещены. Плюс к этому проблемы с экономичностью, и, соответственно, со спросом, с инвестициями, кратно превосходящими разработку нового дозвукового лайнера.
Однако, всё же - одно дело, если какие-то бизнесмены что-то там предлагают или просят, и совершенно другое, если это идея нашего президента. Тем более – человека, который, как мы знаем, ко всему подходит весьма основательно. Совершенно не исключено, что перед озвучиванием такой идеи Путин уже успел проконсультироваться с авиационными специалистами на предмет «переделки».
Конечно, есть вероятность, что, восхищённый полётом нового самолёта, он  мог не сдержать чувств и «выдать» мысль экспромтом, но… вряд ли.
С другой стороны, Ту-160 - самолет с крылом изменяемой стреловидности, что даёт «…множество преимуществ, но приводит к увеличению массы и к значительному усложнению конструкции за счет введения поворотного узла консолей крыла…. Существенным недостатком крыла с изменяемой стреловидностью является увеличение массы самолета, вследствие наличия шарнира и механизма поворота консолей крыла. Согласно проводившимся расчетам, потеря массы на шарнирном узле превышает 4% взлетной массы».
На идею превращения стратегического бомбардировщика Ту-160 в гражданский лайнер отреагировали и на Западе. Так, на Би-би-си появилась статья под названием «Гражданский авиалайнер на базе ракетоносца Ту-160. Реально ли?». С подзаголовком, который очень соблазнительно было бы поставить под названием и нашей статьи «Ту-160 – самый большой боевой самолёт в мире, но сможет ли он стать авиалайнером?»
Конечно, надо учитывать и то, что это один из голосов наших западных недоброжелателей - верить им «можно, но осторожно» и только после очень тщательного рассмотрения материала. Но, на первый взгляд, статья как бы весьма дельная, хотя и видно большое желание однобоко подобрать факты - показать не то, как можно реализовать идею нашего президента, а  почему это невозможно.
Сначала автор Павел Аксёнов признаёт, что «самые известные и успешные проекты конверсии бомбардировщиков в пассажирские самолеты - советские авиалайнеры Ту-104 и Ту-114. Первый был переделан из реактивного бомбардировщика Ту-16, второй - из стратегического бомбардировщика Ту-95 с турбовинтовыми двигателями, который в модернизированном варианте остается на вооружении российских ВВС до сих пор.
В обоих случаях главной причиной разработки лайнеров на основе бомбардировщиков была попытка сэкономить средства, время и ресурсы конструкторских бюро. Однако и в том, и в другом случае гражданская версия сильно отличалась от военной. И в том и в другом случае инженерам пришлось практически полностью переделывать фюзеляж. Во-первых, для пассажирского самолета не годилась схема расположения крыла в середине фюзеляжа (схема "среднеплан"), гражданские авиалайнеры обычно строят по схеме "низкоплан".
Во-вторых, диаметр фюзеляжа военного самолета обычно меньше, чем у гражданского, и его пришлось расширять при конверсии. Тем не менее, в обоих случаях конструкторам удалось создать довольно удачные для своего времени пассажирские самолеты на основе военных. Правда, ни гражданские, ни военные версии этих самолетов не были сверхзвуковыми».
Я могу подтвердить, что ширина фюзеляжа Ту-160 меньше, например, от пассажирского Ту-144, при сравнимой длине корпуса. По моим данным, ширина салона Ту-144 была 2,6 метра, в то время как фюзеляж Ту-160 – 2,1 метра (а салон внутри этого фюзеляжа будет ещё меньше). И при той же сравнимой длине (54,1 м у Ту-160 и 59,40/65,70 м – у Ту-144 разных модификаций) можно предположить, что количество пассажиров 80-100 человек (у Ту-144) пришлось бы уменьшить до 40-60-ти в случае пассажирской модификации Ту-160.

А ещё я вынужден согласиться, что «обычный полет Ту-160 проходит на скорости ниже скорости звука. Пассажирские же самолеты, такие как Concorde и советский Ту-144, большую часть своего полета совершали на сверхзвуковой скорости».
И - что «самой большой проблемой Ту-160 является сильно укрепленная и массивная силовая конструкция центроплана, которая находится в самом центре самолета. По ее краям установлены узлы крепления поворотных консолей крыла - тех самых, которые откланяются назад при переходе самолета на сверхзвуковую скорость. Эта штука …находится в самом центре. Там в принципе невозможно разместить никакой пассажирский салон.
Поскольку эта конструкция является основой, скелетом всего самолета, переделать Ту-160 в пассажирский без фундаментального изменения конструкции невозможно. Единственная возможность поместить где-либо пассажиров - это два довольно больших бомбоотсека, расположенных впереди и позади центроплана».
Однако, лично я сказал бы, что не так всё пессимистично - возможны несколько вариантов. Во-первых, не так уж страшно, если два салона нашего бизнес-джета будут отдельными. Да, это непривычно, но не значит, что плохо. Пускай будет два раздельных входа в самолёт, спереди и сзади, пускай салоны будут даже изолированными друг от друга – для самолёта бизнес-класса можно позволить себе ещё одну стюардессу во втором салоне.   

Во-вторых, как известно, есть проект Ту-160 с другим крылом, схемы бесхвостка, как у Ту-144 (были же Ту-22 и Ту-22-МР, самолёты как бы одной модели, но разных модификаций, которые совершенно отличались друг от друга и по двигателям, по вооружению, по внешнему виду!).
А насчёт дозвукового и сверхзвукового режимов – кто сказал, что, при другой схеме, нельзя поменять и двигатели? В частности, почему бы не использовать двигатели от того же Ту-144? Да, тяга будет другой, но можно вспомнить хотя бы ЯК-40, который, из-за необычно высокой тяговооружённости, взлетал почти как боевой истребитель.
 
И, тем более, с двигателями можно «поиграть»…
В общем, только время покажет, что стоит за предложением нашего президента -   экспромт ли это от полёта первого в истории России нового «Белого лебедя» или детально проработанное техническое задание для конструкторов и производственников. Но вот если «тема выгорит», то она многое обещает.
Помимо строительства нового класса гражданских самолётов, потенциально весьма востребованного, может появиться ещё и совершенно новый класс военных самолётов - сверхзвуковая машина для доставки передовой группы десанта, с возможностью перехода на дозвуковой тихоходный режим, при её десантировании. Разве плохо будет, если у нас, помимо решения целей конверсии, появится ещё и возможность невероятно оперативного решения некоторых проблем?
Например, всего лишь за час, включая время взлёта и десантирования, перебросить группу бойцов за одну тысячу семьсот километров, на самые западные границы бывшей нашей общей родины или в любую другую горячую точку Евразии за срок чуть больший?

Источник
 
Как «Белый лебедь» поможет «сшить» Россию

Экономика России нуждается в высокоскоростном пассажирском авиалайнере

Популярная пропагандистская агитка отечественных оппозиционеров гласит – в России ничего не производится, не строится, эксплуатируем на последнем издыхании и латаем кое-как остатки советской индустрии и ее творения. Если же что-то и возьмутся сделать, вроде «русского айфона», то потратят астрономические суммы, раз за разом будут срывать сроки, а в итоге представят плохонькую копию дешевого китайского смартфона.
Именно поэтому свежая новость о том, что прекращенное в 2008 году производство сверхзвуковых ракетоносцев Ту-160 «Белый лебедь» возобновлено, и возобновлено с опережением графика, и возобновлено уже новой модернизированной версии Ту-160М2, блогосфера предпочла проигнорировать. Ведь это знаковое событие не вписывается в ту картину мира, которую она как шарманка транслирует российскому обществу.
Процитирую сайт Life от 25 января: «В ноябре прошлого года вице-премьер Дмитрий Рогозин докладывал Владимиру Путину о выкатке из цеха Ту-160М2 и о том, что на начало 2018-го запланированы его испытательные полёты. «Первый полёт самолёта Ту-160М2, который сегодня вышел из цеха, мы планируем провести в феврале следующего года», – доложил Рогозин президенту… Рогозин обещание, данное президенту, выполнил даже с опережением срока».
Казанский авиастроительный завод сразу же получил заказ на 10 бомбардировщиков Ту-160М2 (по цене 15 млрд рублей за каждый), который загрузит его до 2027 года.
Life отмечает: «Главные изменения новой версии «Лебедя» – внутри самолёта. Более 60 процентов систем и оборудования бомбардировщика – новые. В их числе «стеклянная» кабина экипажа, в которой вместо аналоговых приборов будут стоять жидкокристаллические панели. На них будет выводиться вся нужная информация. Также появятся новые вычислительные комплексы повышенной производительности и система радиоэлектронного подавления.
Самолёт получит новый двигатель НК-32 серии 02 производства самарского ПАО «Кузнецов». НК-32 – самый мощный в мире, он позволяет летать самолёту как в атмосфере, так и в стратосфере. Модифицированный НК-32 получит новый газогенератор и цифровую систему управления FADEC. Это обеспечит не только оптимальные режимы его работы, но и существенную экономию топлива. Так что уже сейчас можно предположить, что новый двигатель Ту-160М2 позволит ему иметь большую, чем у предшественника – Ту-160, скорость».
Ту-160 уже продемонстрировал всем миру свои высочайшие боевые качества в Сирии. В условиях жесткого натиска со стороны Запада – это выразительный жест о готовности России к сопротивлению, инвестиции в мирное небо над нашими головами. К уже стоящим на вооружении Военно-Космических Сил России 16 «Белым лебедям» добавится еще 10, причем гораздо более мощных и современных. Но и это еще не все.
Во время поездки в Казань президент Владимир Путин высказался за возобновление и производства легендарного «советского Конкорда», ультразвукового пассажирского лайнера Ту-144, военной версией которого является бомбардировщик Ту-160. По его словам, он нашел бы применение: «Ту-144 почему сошёл с производства – билет должен был соответствовать какому-то среднему заработку в стране. А сейчас ситуация другая. Сейчас крупные компании появились, которые могли бы использовать этот самолёт».
«За авиацией будущее, за боевой авиацией, с целью обеспечения обороноспособности страны, и за гражданской авиацией тоже. Но нам, мы сейчас обсуждали, надо подумать и над гражданской версией подобных самолетов. При такой огромной территории, как у нас, из Москвы до Нью-Йорка ненамного дольше лететь, чем до Владивостока. Поэтому уверен, что это будет востребовано», – сказал глава государства рабочим завода.
Россия – огромная страна, на одном краю которой люди уже ложатся спать, когда на другом только просыпаются. Помимо абстрактной часовой разницы, есть и такой аспект – после крушения Советского Союза, системы доступных железнодорожных и авиационных билетов, бесплатного отдыха в разных уголках страны – люди в разных частях страны все меньше ощущают живую связь друг с другом. Например, Калининград ближе (в том числе климатически и экономически) к Польше и Литве, чем к прочей части России, а Приморье и Сахалин – к Японии и Корее. Жители этих регионов больше ездят в соседние страны, чем в «коренную» Россию. Ведь до европейской части России с Дальнего Востока ехать по железной дороге несколько суток, а даже самолетом от 9 до 11 часов.
Еще хуже ситуация на Камчатке, в регионе с 300-тысячным населением, отделенного от прочего мира суровыми горами и бурным океаном. Какая связь с Россией, если билет на самолет в европейскую часть стоит порядка 40 тысяч рублей (в не сезон – 20 тысяч, но именно потому что никто и не летает в это время)? Напомню, что средненачисленная зарплата по стране за прошлый год только достигла тех же 40 тысяч.
Между тем, Камчатка – один из опорных регионов страны, не случайно сюда в 1854 году сразу заявилась одновременно с Крымом и Петербургом английская военная эскадра. Это регион с невероятными природными богатствами и ресурсами, имеющий огромнейший потенциал для туризма. Но все убивают цены на авиабилеты. Но сейчас появились лоукостеры, предлагающие низкие экономичные тарифы. И если они могут предложить такие для полета на новеньких «Боингах-737», возможно, смогут и для Ту-144.
Сверхзвуковые гражданские авиалайнеры смогли бы дать мощный толчок внутреннему туризму, причем в самых разных направлениях. Многие ли из жителей Владивостока, Южно-Сахалинска или Петропавловска-Камчатского бывали за свою жизнь в Москве, Петербурге, Казани и других крупных городах европейской части России? А ведь без живого соприкосновения с жизнью прочей страны невозможно полностью ощутить связь с ней, понять чувство принадлежности к огромному государству, более глобальное и важное, чем низкие цены на потребтовары где-то за ближайшим кордоном.
Так что, мирная версия «Белого лебедя» вполне могла бы, как огромная иголка, «сшить» страну, начавшую ощутимо разваливаться на куски в 1990-е годы и до сих пор до конца не избавившейся от этого синдрома. Не говоря уж о том, чтобы дать мощный импульс для развития российской авиастроительной отрасли.
Александр Казаков – член политсовета партии «Родина», руководитель отделения партии в Истринском районе Московской области, специально для ИА REX.

Источник
 

Вложения

  • 31-01-2018-1.jpg
    31-01-2018-1.jpg
    12,6 КБ · Просмотры: 150
Правительство одобрило бесплатную регистрацию юрлиц без офиса

В России произошла сенсация для малого и среднего предпринимательства. Или, как сказал глава Минэкономразвития Максим Орешкин, тектонический сдвиг для корпоративного законодательства.
Миллионы компаний вынуждены сейчас платить за фактически фиктивный юридический адрес. По абсолютно разным причинам они им не пользуются, но платят держателям таких адресов. Исполнительная власть наконец-то решила исправить абсурдную ситуацию благодаря идее Минэкономразвития стимулировать экономическую активность экономическими методами, как в примере с легализацией самозанятых.
Правительство РФ поддержало предложение о регистрации юридического лица без обязательного наличия офиса, заявил глава Минэкономразвития Максим Орешкин по итогам заседания президиума совета при президенте РФ по стратегическому развитию и приоритетным проектам.
"Первая история - предложение от ухода от обязательного принципа наличия физического адреса для юридических лиц. Это создание на базе банков, других организаций возможности регистрации предприятий без физического офиса - либо на базе почтового ящика, либо на базе электронного сервиса", - сказал министр.
Он отметил, что это тектонический сдвиг для корпоративного законодательства. Это перевод всей системы регистрации в соответствии с реалиями современной цифровой экономики. Особенно с учетом нулевой ставки регистрации бизнесов в электронном формате.
"Вторая история связана с упрощением регистрации новых бизнесов. Мы договорились о том, чтобы те бизнесы, которые будут регистрироваться в электронном формате, будут регистрироваться с нулевой платой. Это подразумевает отмену госпошлин для регистрации нового бизнеса в электронном формате. И одновременно со стороны банковской системы мы слышим готовность предоставлять услуги по открытию счета, по получению базового перечня услуг тоже с нулевой стоимостью", - сказал Орешкин.
И последний штрих к празднику на улице малого и среднего предпринимательства министр высказал в конце общения с журналистами.
"Третья история - совместная программа с Корпорацией МСП по предоставлению льготных кредитов на уровне 6,5%", - добавил он.
Министр напомнил, что на этой неделе были отобраны 15 банков, и уже в феврале начнется выдача кредитов по такой ставке. Также в четверг будет запущен ресурс "Деловая среда", на котором компании и банки смогут предоставлять сервисы для малого бизнеса.
Сегодня на заседании президиума совета при президенте РФ по стратегическому развитию и приоритетным проектам было принято решение поддержать все предложения. Поправки в законодательство вступят в силу уже в 2018 году/

Источник
 

Вложения

  • 31-01-2018-4.jpg
    31-01-2018-4.jpg
    13,1 КБ · Просмотры: 151
«КоммерсантЪ»: Владимир Путин одобрил объединение Ростеха и ОАК

Президент России Владимир Путин поддержал идею главы Минпромторга Дениса Мантурова подключить «Ростех» к финансированию программы МС-21. Об этом пишет сегодня “КоммерсантЪ” со ссылкой на свои источники в оборонной промышленности и аппарате правительства. В письме президенту от 23 января министр сообщил, что госкорпорация «подтвердила возможность выделения на МС-21 около 30 млрд руб. в 2018–2020 годах». Владимир Путин поставил на документе визу, что согласен.
Это первый шаг к передаче ОАК в состав «Ростеха». По информации источников "Ъ" проект президентского указа уже разработан и согласован Минпромторгом, Минэкономики и Минфином, документ должен пройти согласование ещё в аппарате профильного вице-премьера - Дмитрия Рогозина.
Между тем только включением ОАК в «Ростех» реформа не ограничится, в проекте указа президента появится пункт об объединении ОАК с холдингом «Вертолёты России» (входит в «Ростех»). Таким образом, компетенции вертолёто- и самолётостроительной отраслей будут объединены под началом одной управляющей компании. С момента подписания соответствующего указа Владимиром Путиным на все преобразования будет отведено полтора года.
В результате «Ростех» станет не только комплектатором авиаузлов и агрегатов - предприятия госкорпорации поставляют около 70% комплектующих для самолётов, но и производителем готовой авиатехники.
В самой госкорпорации подчеркнули, что на данный момент «решения о вхождении ОАК в “Ростех” нет», поэтому «крайне преждевременно обсуждать любые планы по слиянию активов и по инвестициям». В ОАК сказали, что структура и конфигурация активов авиастроения остаётся прерогативой государства, и выразили готовность «выполнять поставленные задачи».
«Помимо МС-21 у ОАК есть и другие проекты, на которые нужны деньги, — подчеркивает источник “Ъ” в авиапроме. — На российско-китайский CR929 и продолжение работ по линейке SSJ100 нужны ещё десятки миллиардов рублей, которые теперь придётся изыскивать “Ростеху”»

Источник
 

Вложения

  • 01-02-2018-1.jpg
    01-02-2018-1.jpg
    17,7 КБ · Просмотры: 160
Переходим на другую ветку.

Вадим Цыганащ

Буду своими общественными возможностями помогать до упора.
Совершенно безумную историю Сергей Шевчук однозначно озвучу на совещании в Правительстве, в Минтрансе, по всем формальным и неформальным каналам, внесём решение в качестве поправки в ФАП 147 и буду просить Минтранс в любом случае это поддержать.
Знаю, что ряд ответственных лиц сейчас это прочел. И тоже прошу проникнуться .
Будем эту историю педалировать в СМИ.
Вот эта история, кто ещё не читал.
"Ситуация по Крыму следующая,
Лицензии (PPL) которые мы имели окончив ауцы в Украине согласно 6 ФЗ нам должны были обменять без всяких условий.
В 2014 году нам сообщили что обмен состоятся не может потому что нет бланков.
Когда бланки появились, нам сказали что закончился переходный период и теперь мы должны окончить АУЦ в России. Оплатив полный налёт и учебу.
[Важно, что закон никакого срока переходного периода не предусматривал - В. Ц]
Естественно такие условия никого не устраивали.
Мы продолжали летать с украинскими международными лицензиями.
С сегодняшнего дня заявки с нашими пилотскими перестали проходить через ЗЦ
Приплыли..."
Теперь автор продает свои самолёты. Это не просто гимн компетентности чиновных лиц. Это провал.
При этом: совещания Росавиации проводились, обещания были, Начальники приезжали-обещали.
Хирургам (!) лицензии поменяли, водителям, установщикам кондиционеров, черти кому. А про АОН не смогли.

Источник
 
Вадим Цыганаш

Отработано 1 ФЗ, 7 ФАПов, предложены 52 поправки, 34 из них имеют текстовые варианты новых формулировок (спасибо нашим экспертам)
Работа сделана на 1/2.
Продолжаем работать.
Ожидаем в течении ближайших 7 дней большое совещание Правительство-Минтранс по этой проблеме.
Точно успеваем все доработать.
Можно наверняка сказать, что такой объем и глубину проработки законодательства ни Минтранс, ни Комиссия по АОН не делали. Что особенно важно, это не просто поправки, но они равно могут быть использованы в развитие Дорожной Карты Комиссии по АОН, в развитие идей Минтранса.
Они могут быть сделаны внутри существующих ФАПов , или вычленены в отдельный большой ФАП по АОН.
Отдельное спасибо всем, кто писал комментарии. Часть ваших предложений вошла в поправки.
Когда закончу вторую половину работы - выложу на сайте. Поверьте, это будет очень долгое и интересное чтение.
Что важно: нашими силами невозможно глубоко переработать и довести до уровня Part 61 или документов EASA.но вполне возможно снять большую часть проблем АОН.

Источник
 
Вадим Цыганаш

Предлагаю вашему вниманию Таблицу изменений в ФАП в рамках Дорожной карты Комиссии по АОН и предложений Минтранса по итогам Совещания 15.01.2018.
Подготовлена к
к Совещанию в Правительстве.
Проект.
Требуются ваши дополнения и предложения.
Нажмите на ссылку "Таблица изменений" чтобы скачать.
Объем 21 страница.
Таблица без пояснительной записки. Требуется экспертное мнение по содержанию и полноте предложений.

Профсоюз АОН

Источник
 
Вадим Цыганаш


Полемика. Взгляд не-журналиста vs взгляд главного редактора на проблемы АОН
В журнале "Авиатранспортное обозрение" вышел материал "Что делать с АОН?"
Автор - Алексей Синицкий. Главный редактор "Авиатранспортного обозрения".
Сам факт такого внимания означает, что появились какие-то силы, которые сподвигли главного редактора ведущего отраслевого журнала написать этот материал.
Для нас это означает, что необходимо ответить автору и тем силам, которые стоят за ним.
Я взял ответственность за полемику на себя и вот что получилось:
************ ************
Идея что то сделать с АОН не новая. Очевидная и сладостно- болезненная рефлексия нашего управления. Сладость ее в демонстрации своей нужности и возможности получения новых ресурсов и полномочий. Боль ее в разной размерности инструментов управления и его объекта.
Делать что-то, за отсутствием институтов и инструментов управления, у нас могут одним способом: отраслевым, централизованно и наотмашь. Давайте посмотрим, каким инструментарием происходит управление АОН?
Печальная 238 ч. 1 УК РФ - да.
Статья 11.4 КоАП РФ - да.
Прокурорские предупреждения и иски о прекращении деятельности - да.
Закрытие АУЦ -да.
Изъятие пилотских - да.
Для удара наотмашь, о котором столько говорилось в кабинетах , на совещаниях и в прессе Росавиацией с 2013 года этого определенно достаточно.
Теперь, посмотрим, какого инструментария нет.
Инфраструктура экономического управления ? Нет.
Организационное управление, создание институтов АОН? Нет.
Инструменты легализации, юридической защиты? Нет.
Инструменты повышения квалификации и постподготовки пилотов? Нет.
Инструменты технической помощи и контроля? Нет.
Инструменты дисциплинарного реагирования - нет. (Кроме изъятий пилотских)
То есть их нет совсем. Право, нельзя же телеграммы Росавиации адресуемые в никуда, за отсутствием институтов управления АОН, признать помощью? Тем более, что содержательно там нет ни-че-го. Ничего, что помогло бы избежать повторения проблем и катастроф. Ни рекомендаций, ни предложений. Только принять к сведению и принять меры. Кому, когда и как - нам не дано понять.
То, что идут постоянные суды, демонстрирует отсутствие какой либо адекватности управления. Ведь суд это способ более гибкого усмотрения, чем административное.
Именно поэтому АОН росла тогда, когда никто не обременял себя мыслью "что-то делать с АОН" . И это был не самый здоровый способ роста.
АОН выросла в нужде, угнетении и нелюбви. И породила феномены, соответствующие условию воспитания:
- высокие риски, но и высокие доходы на черном рынке авиаработ и авиаэкскурсий.
- отсутствие типовых ВС и центров сертификации, но одновременно нечто, называемое ЕЭВС.
- поистине чудовищную коррупцию, в которой и управляющие и управляемые
- нелегальную подготовку, но и закрытие всего легального.
- побег всего крупного, передового и иностранного из российского рынка и ввоз второсортного, отслужившего, отсталого
- кратную, а местами порядковую разницу в ценах черного и официального рынков.
Это - картина развивающихся стран. Венесуэлы и Африки.
Добавим туда, что:
-концепция развития АОН не принята с 1998 г.,
- нет Инспекции по АОН, предусмотренной ещё в 1997г.,
-в стране нет ни одного лица, отвечающего за АОН и ее развитие,
- отсутствие механизмов привлечения экспертов АОН к работам над проблемой,
-отсутствие финансирования исследований и, как следствие, отвратительно убогое, архаичное законодательство, совершенно не связанное с реальной жизнью.
-отсутствие профессионалов АОН в управлении.
И вишенка на торте - утверждение о том, что развитие на иссохшемся от финансовой нищеты официальном частном и от административно-уголовных репрессий черном рынках - дело самой АОН. Бюджетных денег тоже нет.
Все это вместе взятое - картина управления, характерная для Сомали, других таких же развивающихся стран.
Самый важный вопрос совершенно не в том, обретёт ли АОН новый правовой режим коммерческого использования. Он давно есть и прекрасно себя чувствует, когда спит прокурор. Вопрос в том, появятся ли нужные инструменты для легализации, помощи в подготовке, постподготовки и техобслуживании. Появится ли регулировка рынка, соответствующая ее экономике?
АОН это не отрасль, по крайней мере сейчас. Это микробизнесы. Их совокупность может вырасти в подотрасль ГА,. если любовно ухаживать за каждым микробизнесом.
Именно поэтому отраслевой, централизованный подход здесь вторичен.
Кстати, мы знаем целых три варианта изменений в Воздушный Кодекс. И очень спокойно на это смотрим из далей наших полевых аэродромов, потому что твердо знаем, что никакого решения ещё не принято никем, что только начинается проработка этих вопросов. А значит, эти варианты либо исчезнут в небытии, либо будут дорабатываться.
А если не будут - ну что же, давайте посмотрим, что происходит и куда это приведет.
- 2017 год - год массового получения пилотских за рубежом. Конюхов - лучший пример.
-2017 год - год эмиграции не только пилотов, но и целых авиационных учебных центров.
-год, когда до невозвратно состояния уничтожена экономика АОН, а вся инфраструктура стала убыточной.
-год, когда массово прекращается авиадеятельность АОН.
Что мы можем ещё потерять? Принимайте, давайте. Теряем не мы. Страна.
Вернёмся к центральной идее статьи. Она проста: лучше быть здоровым и богатым, чем бедным и больным. Абсолютно никто с этим не спорит.
Но давайте посмотрим чего нам не хватает, чтобы быть богатыми и здоровыми.
АОН выросла такой, какой выросла. В последние годы переболела рахитом. Местами - ДЦП. Очень часто вместо детского садика и школы, уроки давались в доме для душевнобольных.
Наивна надежда одним лекарством исправить все.
Дайте денег больному и он использует их в соответствии с больным воображением.
И автор очень четко это отметил. Действительно, каждый из нас , пилотов, ходил по грани. Часто - за гранью.
Так ведь кругом - Сомали. Джунгли. Охотники. Ты или рискуешь и сыт, или не рискуешь и голоден. Нас привязали к дереву и теперь мы не можем рисковать. Вроде бы все хорошо, но пациент в коме.
Конечно, речь должна идти о трёх фундаментальных вещах:
Об образе будущего. Каким должна быть АОН. Для чего она может быть предназначена в стране, которая утрачивает человеческий капитал, находится под санкциями и имеет массу экономических проблем? Как достичь этот желаемый образ, какие эксперты и что предлагают? Что думает власть, которой принимать решения? Но молчит автор: нет экспертов, у власти нет решений. Они только-только начали появляться на административном горизонте.
О самостоятельной системе управления, соответствующей территориальному распределению и организации АОН. Ее нужно определить, согласовать с пилотами и бизнесом АОН. С инвесторами и коммерческими компаниями авиаперевозчиков, которым мы открываем двери в высокомерие платное будущее. Но молчит автор: нет такого решения.
О техниках и технологиях развития. Но и тут тишина.
А ведь идут, идут эти работы в недрах общества. Комиссия по АОН выработала дорожную карту. Профсоюз АОН имеет шесть вариантов ее развития. Идет работа в Минтрансе. В процессе обсуждения появились депутаты, космонавты, эксперты ИКАО, производственники, владельцы компаний и т д. Подключились авиационные федерации: центральные местные. Налажены каналы обсуждения.
Возникает постоянное движение идей, предложения, их критика. Предложения пилотского сообщества экспрессом направляются прямо в Минтранс. Возникают и рушатся концепции, идёт тяжелейшая интеллектуальная работа огромного числа людей.
Государство подключилось к постановке проблемы, а значит подключится к ее решению. Впервые это стало публичным, а не кулуарным делом: пилотское сообщество сгруппировано и на экспертном уровне представлено в органах власти. И это огромная победа общественных сил.
И обо всем этом, сама интересном, тишина.
Вот темы, достойные отраслевого пера. Вот что очень хотелось бы читать.
Прочесть оригинал статьи "Что делать с АОН?" можно здесь:

Что делать с АОН?

Источник
 

Вложения

  • 10-02-2018-1.jpg
    10-02-2018-1.jpg
    38,9 КБ · Просмотры: 154
Вадим Цыганаш

Хоть меня и просили быть толерантным, но я не буду. Быть толерантным есть смысл там, где за это можно получить результат. Точнее говоря, результат есть в виде декларирования желания что то делать.
Но результата, который можно вам показать, и который облегчит нашу жизнь , на сегодняшний день нет. Может быть его и не должно было быть. Может быть не та стадия процесса. Не знаю.
Что обидно: в Ереване - есть. В Белоруси- есть. В Казахстане - есть. А у нас нет.
Сегодня прошло совещание рабочей группы по АОН в Минтрансе.
Можно смело сказать, что нечего сказать.
Единого понимания как что то сделать по-прежнему ни у кого нет.
Мы озвучили свои предложения. Ответ таков, что до конкретики ещё нужно дойти.
Механизма работы пока нет.
Проработанных предложений пилотам тоже нет.
Совершенно точно до сентября никаких изменений в ВК не будет - просто не успеют провести все процедуры.
В сезон мы входим ни с чем: мертвое управление, репрессивное правоприменения и невыполнимое законодательство. Результатов работы ни у профсоюза, ни у Минтранса нет. Хотя весь год мы работали.
У Минтранса нет ресурсов. У нас нет денег и опыта продвижения.
Партизанская стратегия сегодня остаётся наиболее эффективной, хотя она и ведёт к деградации.
Стратегия побега из страны и получения пилотских за рубежом, работы за рубежом, тоже более эффективна, чем попытки соблюдать правила в стране.
Но пока у нас других вариантов просто не существует.
Есть ли хоть что то, что может вдохновить?
Есть: намечена серия встречи по проработке ФАП.
Есть предварительная договоренность работать нашим экспертам с одной из ведущих консалтинговых фирм, если они получат финансирование на работу по проблематике АОН. Но эта работа начнется не ранее чем через полгода. Конкурсы и т д. Бюджетные деньги не любят спешки
Ну, посмотрим, что из этого выйдет
Сейчас мы сосредоточим усилия хотя бы на том, чтобы в любом ФАП, все равно в каком, указать критерии безопасного полета (услуги), как полета, не причинившего никому вреда просто и эффективно.
Чтобы убрать хотя бы 238 ч.1 УК РФ как способ нашего удушения. Вроде бы понимание какое то есть. Хотя бы это. Ненормально, когда никому вреда нет, а уголовные дела по пилотам есть.
Если получится, то будем платить административные штрафы и жить как в анекдоте : " даже если будет восемь, все равно летать не бросим".
Что сделали мы за два месяца:
- предложения пилотов для совещания в МТ и само совещание.
-поправки в ВК
-таблица изменений в ФАП.
Казалось бы, бери за основу и работай.но нет.
Слишком много участников процесса согласований, там, где должен быть один орган, с бюджетом и экспертами. Проблема на самом деле решается за год-два. Причем в режиме создания законодательства за пол года. Остальное - отстройка и обучение управленческих структур.
Короче говоря, пока весь аппарат элементарно буксует там, где вполне возможно с минимальными деньгами и за полгода создать что то вполне вменяемое.

Профсоюз АОН

Источник
 
Назад
Вверх