Статьи по авиации (адаптации и переводы)

Вот что писал Flight:
ТРЕТЬЯ МЕЖДУНАРОДНАЯ АВИАЦИОННАЯ ВЫСТАВКА В ПРАГЕ
НЕМЕЦКИЕ ЭКСПОНАТЫ
ALBATROSWERKE, BERLIN-JOHANNISTHAL​
Flight, June 1924
1694538047393.png

ДВА ВИДА ЛЕГКОГО МОНОПЛАНА АЛЬБАТРОС "L.66": Показан двигатель Haacke, использовавшийся в ранних экспериментах, и заявлено, что может быть установлен любой тип двигателя мощностью 30-40 л.с., по желанию заказчика.



«L.66» представляет собой нечто среднее между маломощным спортивным и легким самолетом, как этот термин понимают в этой стране. Как видно из двух опубликованных здесь изображений, «L.66» представляет собой двухместный моноплан-парасоль с горизонтально-оппозитным двухцилиндровым двигателем воздушного охлаждения, установленным в носовой части. Очевидно, что простота и низкая стоимость производства являются целями, к которым стремились дизайнеры, и результат, как и во многих случаях, когда это является первоочередным соображением, не особенно радует глаз. Из этого, конечно, не следует, что машина не совсем хороша с точки зрения аэродинамики, хотя большое количество стоек, используемых при креплении монопланного крыла к фюзеляжу, должно оказывать немалое сопротивление. С другой стороны, чистое крыло, вероятно, довольно эффективно, хотя угловатые и очень высокие нервюры на законцовках крыла не выглядят особенно аэродинамично.

Конструктивно «Альбатрос Л.66» примечателен прежде всего тем, что, в отличие от всех предыдущих машин «Альбатрос», он имеет преимущественно металлическую конструкцию. До сих пор эта фирма специализировалась на цельнодеревянных конструкциях, поскольку за несколько лет до войны фюзеляжи «Альбатросов» представляли собой конструкции, покрытые фанерой. Однако в «L.66» была использована конструкция из стальных труб с приваркой стоек к лонжеронам, во многом напоминающая стиль фюзеляжей Fokker. Расчалки из проволоки, покрытие — обычная пропитанная ткань.

Два сиденья расположены рядом, и если появится необходимость использовать машину для обучения, элементы управления можно продублировать. Имеются обычные ручки и ножная перекладина управления, которые не представляют собой ничего необычного. Однако руль направления и хвостовая опора соединены между собой, чтобы обеспечить легкость управления машиной при рулении на малой скорости.

Силовая установка представленной машины представляла собой двигатель мощностью 30 л.с. Haacke, но при желании могут быть поставлены и другие двигатели. Двигатель установлен несколько выше носовой части фюзеляжа, за ним находится маслобак, заключенный в обтекатель, несущий на себе приборный щиток.

Основное шасси представляет собой простую ось с двумя колесами, проходящую внутри фюзеляжа, оси выступают через боковые стенки.

Руль направления и руль высоты сбалансированы, нет ни фиксированного вертикального киля, ни стабилизатора.

Крыло моноплана, имеющее значительное поперечное “V”, имеет обычную деревянную конструкцию и установлено, как уже указывалось, на довольно сложной системе стоек. Бензобак расположен в центре крыла, чтобы обеспечить подачу топлива самотеком. Передняя кромка элеронов расположена в полукруглом канале на задней поверхности заднего лонжерона.

Точных данных о габаритных размерах машины нам получить не удалось, но при снятом крыле и размещении его вдоль фюзеляжа габаритные размеры машины в сложенном виде составляют примерно 5,5 м. (18 футов) в длину; 2,2 м. (7 футов 3 дюйма) в высоту и ширину 1,2 м. (4 фута).

Вес пустой машины 220 кг. (484 фунта), а полезная нагрузка, состоящая из пилота и пассажира и 33 литров бензина, составляет 175 кг. (385 фунтов), в результате чего общий полетный вес достигает 395 кг. (869 фунтов).

Так как площадь крыла 13,5 кв.м. (145,5 кв. футов), нагрузка на крыло составляет чуть менее 29,3 кг/м2 (6 фунтов/кв.фут).

Максимальная скорость указана как 100 км/ч. (62 миль в час) и набор высоты до 1000 м. (3300 футов) занимает примерно 15 минут.

Продолжительность полета— три часа на полной мощности.
1694538069547.png

Необычное расположение верхних лонжеронов хвостовой части фюзеляжа Albatros L.66.
 
Первоисточник:
Моноплан "Даймлер L 15" (Daimler L 15)

(Из "Das Leichtflugzeug fur Sport und Reise" от Werner v. Langsdorff, 1924; "Flight" от 8 мая 1924)​

Легкий самолет "Даймлер L 15" (двухместный моноплан с высокорасположенным крылом) содержит восстановленные крылья и фюзеляж маломощного планера-моноплана, спроектированного герром Клеммом и построенного на вагоностроительном заводе Даймлера в 1919 году. В 1922 году он был переделан в планер путем демонтажа двигателя, и эксперименты показали, что он очень хорош с аэродинамической точки зрения и обладает достаточной управляемостью. Затем он был оснащен другим, более мощным двигателем и получил обозначение L 15 в качестве легкого самолета. Как будет видно из чертежа, это свободнонесущий моноплан, с эллиптическим крылом, сужающимся как по хорде, так и по толщине к концам. Два лонжерона имеют новую конструкцию в поперечном сечении, которая, как утверждается, предотвращает прогиб.

Крыло состоит из трех частей, длина консольных частей составляет половину размаха центроплана, который не имеет поперечного “V” и стреловидности по передней кромке. Консоли присоединяются с помощью быстроразъемных узлов. Элероны обычного типа шарнирно крепятся к заднему лонжерону консолей крыла.

Фюзеляж имеет обычную конструкцию, состоящую из четырех лонжеронов с проволочными расчалками и опалубками. В сечении основная конструкция прямоугольная, но сверху и снизу добавлены обтекатели для придания лучшей обтекаемости. Покрытие - ткань, пропитанная обычным способом. Носовая часть фюзеляжа вблизи передней кромки крыла является съемной, в этом месте два поперечных крепления примыкают друг к другу и соединяются простым соединением, не требующим регулировки или специальных инструментов. Все разъемные детали соединяются тонкими предохранительными болтами, и разборка легко осуществляется.

В системе управления используются обычная ручка и педальная перекладина с возможностью двойного управления, если это необходимо, а тросы управления почти полностью находятся внутри фюзеляжа и крыльев.

Пилот занимает переднее сиденье, расположенное между лонжеронами крыла. С пассажиром на заднем сиденье балансировка самолета, является хорошей, хотя представляется вероятным, что при таком расположении центр тяжести может быть несколько смещен назад.

Шасси оснащено колесами с фанерными боковинами и ободами из ясеня, без резиновых шин. Одно испытуемое колесо выдержало нагрузку до 600 кг, не сломавшись, хотя весило всего 1,3 кг. Эти колеса похожи на те, что использовались на монопланах A.N.E.C. на соревнованиях в Лимпне в 1933 году. Схема стоек шасси аналогична той, которая используется на гидросамолетах-торпедоносцах, каждое колесо имеет две диагональные стойки V-образной формы, которые крепятся на нижних лонжеронах фюзеляжа. Шасси не имеет горизонтальной соединительной оси. Стойки могут свободно качаться в поперечном направлении. При посадке усилия от колес передаются через вертикальную стойку на амортизационные эластичные шнуры расположенные внутри крыльев, и она не имеет амортизатора обычного типа. Может ли эта схема вызвать серьезную нагрузку на конструкцию крыла в случае жесткой посадки, что, возможно, приведет к последующему разрушению крыла в полете, это вопрос.

Двигатель установлен на стальной раме и закрыт капотом. Цилиндры выступают наружу для воздушного охлаждения. Капот легко снимается, обеспечивая свободный доступ, как к двигателю, так и к планетарному редуктору.

Топливный бак установлен позади двигателя и находится на достаточной высоте, чтобы обеспечить подачу топлива непосредственно самотеком.

Для удовлетворения транспортных требований используется специальная тележка, оснащенная парой колес с резиновой обивкой. Самолет перевозится с крыльями закрепленными параллельно бокам фюзеляжа, стабилизатор поднят в вертикальное положение и закреплен с помощью тяги, которая цепляется за его шарниры. Центроплан крыла крепится с одной стороны, а две консоли- с другой.

Однако имеется мало сведений о летно-технических характеристиках этого самолета, хотя в полете с одним пилотом он, как говорят, достиг высоты 2134 м и совершил полет продолжительностью 3 часа и дальностью полета 189 км. С пассажиром ему приписывается высота полета 1100 м, продолжительность полета 2 часа и дальность полета 120 км.

Учитывая низкую мощность двигателя, эти результаты очень похвальны, особенно с учетом того, что самолет был спроектирован четыре года назад, еще до того, как применение легких самолетов стала очевидным.

На рис. 11 приведены данные двигателя, площади, размеры и контурные чертежи.
011.JPG
 
Из журнала FLIGHT:
DAIMLER L.15

Двухместный немецкий легкий самолет с мотоциклетным двигателем​

Flight, May 1924
1694538185140.png

Вид на Daimler L.15, показывающий капот двигателя, шасси и т.д.

Пилот - герр Шренк (Schrenk), пассажир - конструктор герр Клемм (Klemm).



В связи с предстоящими испытаниями Министерства авиации, которые будут проводиться в соответствии с правилами соревнований Королевского аэроклуба, для двухместных легких самолетов могут представлять интерес следующие характеристики немецкого двухместного самолета малой мощности.

Нижеследующая статья частично основана на описаниях, опубликованных в немецких журналах Luftfahrt и Illustrierte Flug Woche, и частично на фотографиях и материалах, предоставленных непосредственно в FLIGHT герром В. Лангсдорфом (Langsdorff) из Риги, который был в значительной степени ответственен за начало работ, приведших к созданию L.15.

Прежде чем перейти к описанию самой машины, возможно, будет интересно рассказать краткую историю этапов, на которых развивался нынешний двухместный легкий самолет. Еще в 1918 году эксперименты были инициированы Хансом Клеммом, который в то время был главным конструктором Daimler-Flugzeugbau, а сейчас является управляющим директором завода Daimler в Зиндельфингене, недалеко от Штутгарта. Эксперименты 1918 года проводились с машиной, непригодной для планеризма, одноместным истребителем Даймлера L.11, пилотируемым Ойгеном фон Лесслем, который позже прославился в Роне, где, к сожалению, в конечном итоге погиб. Ранние эксперименты указывали на возможность парения в потоках, дующих над склонами ряда холмов, и было изучено достаточно, чтобы показать, что машина, специально разработанная для такого рода работ, должна быть способна парить в течение длительного времени и совершать планирующий полет на несколько миль.

В 1919 году на заводе Daimler Carriage Works по проекту Клемма был сконструирован планер-моноплан с двигателем малой мощности. К сожалению, машина была повреждена во время испытания нового пропеллера, и эксперименты пришлось прекратить, главным образом из-за сложных финансовых условий, сложившихся в то время. Только в 1922 году работа над машиной смогла быть возобновлена. Старые крылья и фюзеляж машины 1919 года выпуска были капитально отремонтированы, но машина была переделана из легкого самолета в чистый планер.

На этой машине Martin Schrenk выполнил несколько планирующих полетов. Сначала на невысоком холме рядом с заводом Даймлера, а затем в Швабишен-Альбе, где условия были намного лучше, хотя и несопоставимы с теми, что были в Роне. Были выполнены полеты продолжительностью 13 минут, и на этой машине были преодолены расстояния в 4 километра (2,5 мили) с потерей высоты всего в 250 метров (820 футов). Эксперименты с планеризмом показали, что машина является хорошим планером, эффективным с аэродинамической точки зрения и обладающим достаточной управляемостью. Следующим шагом стало переоборудование её в легкий самолет, результатом которого стал тип L.15, к которому относятся эти записи. В этой связи интересно отметить, что идея двойного назначения легкого самолета и планера была сохранена, поскольку машина способна очень быстро превращаться из одного в другое. Попутно можно упомянуть, что в одном варианте машина была построена как моноплан с низкорасположенным крылом, чем-то напоминающий de Havilland 53. Однако нынешняя машина представляет собой обычный моноплан.

Daimler L.15 имеет фюзеляж обычной конструкции, с четырьмя лонжеронами, опалубками и проволочными расчалками. В сечении основная конструкция прямоугольная, но сверху и снизу добавлены обтекатели для придания лучшей обтекаемости. Покрытие выполнено из ткани, пропитанной обычным способом.

Свободнонесущее крыло моноплана обычной конструкции имеет по два коробчатых лонжерона. Однако для удобства транспортировки оно состоит из трех секций, причем две концевые секции соединяются с центральной секцией с помощью быстроразъемных креплений. Боковое управление необычно тем, что в дополнение к обычным элеронам используются поворотные законцовки крыльев. Мы полагаем, что на самом деле у оригинального планера были только эти законцовки крыльев для бокового управления, и что элероны были добавлены при установке двигателя.

Шасси такого типа, как на самолетах типа "торпедо", то есть нет оси, соединяющей два колеса, каждое из которых опирается на пирамиду из трех труб, две из которых подходят, образуя V-образную форму, к лонжеронам фюзеляжа, а третья выводится в точку внутри центральной секции крыла. Амортизаторы размещены внутри крыла, при этом в нижней части стоек шасси пружины не предусмотрены. Колеса аналогичны тем, которые мистер Шеклтон использовал на монопланах A.N.E.C. в Лимпне в прошлом году, и состоят из многослойных ободьев из ясеня с трехслойными дисками. Во время испытаний одно из колес Daimler выдержало нагрузку в 600 кг (1320 фунтов), хотя его вес составлял всего 1,2 кг (2,64 фунта). Такая форма ходовой части была выбрана Клеммом отчасти потому, что он считает, что колесная ось, приподнятая всего на несколько дюймов над землей, может опрокинуть машину носом в высокой траве, а отчасти потому, что ход колес может превышать радиус колеса, как в обычном шасси V-образного типа. Кроме того, амортизаторы могут быть полностью спрятаны в крыло. Возражения против этого, конечно, довольно очевидны. Жесткая посадка может привести к деформации конструкции крыла, которая, следовательно, может выйти из строя при последующем полете. Когда центральная секция крыла снимается, необходимо закрепить шасси, чтобы зафиксировать его. Это делается с помощью трех тросов, один из которых проходит от одного колеса к другому, и по одному с каждой стороны, идущему к точке на фюзеляже. Разумеется, такого крепления достаточно только для небольших нагрузок, например, для буксировки машины за автомобилем.



Двигатель, установленный на L.15, представляет собой мотоциклетный двигатель мощностью 7,9 лошадиных сил. Заявлено, что при оборотах, на которых он работает на самолете, фактическая развиваемая мощность не превышает 12 л.с. Двигатель представляет собой V-образный двухцилиндровый тип с воздушным охлаждением, установленный на стальной мотораме в носовой части фюзеляжа и закрытый капотом по всей длине, кроме цилиндров. Для повышения эффективности пропеллера был добавлен планетарный редуктор. Бензобак расположен позади двигателя, и используется подача топлива самотеком.

Упоминался тот факт, что L.15 может быть преобразован из легкого самолета в планер и наоборот. Это достигается за счет конструктивного решения носовой части фюзеляжа как отдельного блока. "Носовая часть планера" содержит кабину пилота и обычные органы управления, так что, удлинив тросы управления, машиной можно управлять из этой кабины, в то время как, при желании, пассажир может находиться в кабине между лонжеронами крыла. Кстати, элементы управления позволяют использовать машину для обучения (двойное управление). Для использования в качестве легкого самолета снимается "носовая часть планера" и заменяется на носовую часть, содержащую двигатель и бак. Крепления, используемые для закрепления съемных элементов, относятся к типу, не требующему регулировки и специальных инструментов. Когда машина используется в качестве легкого двухместного самолета, пассажир сидит сразу за пилотом, в вырезе в задней кромке сразу за задним лонжероном. Представляется вероятным, что при таком расположении центр тяжести мог бы находиться довольно далеко сзади, поскольку совокупный вес пилота и пассажира, по-видимому, с лихвой компенсировал бы вес двигателя, расположенного спереди.

Но имеется мало подробностей, касающихся характеристик L.15.

Заявленный размах крыла составляет 12,6 метров (41 фут 4 дюйма).

Двигатель, как уже говорилось, развивает около 12 л.с. при тех оборотах, с которой он работает на аппарате. Герр Шренк уже сделал несколько очень хороших достижений. Таким образом, во время полета в одиночку он достиг высоты 2150 м (7050 футов). С пассажиром машина поднялась на 1100 м (3600 футов). Во время полета в одиночку машина оставалась в воздухе в течение 3 часов 5 минут, а при перевозке пассажира - 2 часа 2 мин. Самый длинный беспосадочный перелет по пересеченной местности, совершенный в одиночку, составил 190 км. (118 миль), и один перелет протяженностью 120 км. (75 миль) был совершен с пассажиром.

Учитывая низкую мощность двигателя, эти характеристики заслуживают высокой оценки, особенно если вспомнить, что машина была фактически спроектирована четыре года назад, то есть до того, как соревнования в Роне действительно показали пути создания эффективного планера и легкого самолета.
1694538209584.png

РАЗОБРАННЫЙ DAIMLER L.15: обратите внимание на вырезанные части для кабины пилота и пассажира.
1694538223190.png

DAIMLER L.15: Слева эскиз, показывающий складывающееся хвостовое оперение, а справа вид съемной "носовой части" фюзеляжа.
 
Прикольно, снять двигательный отсе, установить кабину пилота и получить планер.
Такую операцию делали во время второй мировой с Пайпер Каб. Получали трехместный (или двухместный) десантный планер. 😉
Piper-TG-8-WWII-Training-Glider.jpg
 
Продолжаем разговор.
Первоисточник.
Моноплан “Каспар С 17” (Caspar C 17)

(Из " Flight ", 20 ноября 1924; "Deutsche Motor-Zeitschrift", октябрь 1924; " L’Ala d'Italia", октябрь 1924)​

Легкий самолет "Caspar C 17" (двухместный свободнонесущий моноплан с низкорасположенным крылом) был разработан Эрнстом Риттером фон Лесселем (Ernst Ritter von Loessel) из Caspar Works имеет несколько неклассических решений.

Технические требования, которым стремился соответствовать его конструктор, заключались в следующем:

мощность должна быть минимальной, максимально приближаясь к той, которая требуется для одноместного самолета;
расход топлива должен быть низким, чтобы пропорционально не превышать расход одноместного самолета;
кроме того,
чтобы производительность и маневренность были высокими и подходили для обучения, спортивных полетов и путешествий,
и при этом
конструкция должна быть дешевой, не за счет использования некачественных материалов, а за счет упрощения, дублирования и стандартизации деталей, иначе цель проекта была бы сведена к нулю.

Низкорасположенное крыло довольно типично для "немецких" конструкций, как и высокое его удлинение, большой размах и короткий фюзеляж, причем первая особенность была выбрана, конечно, из соображений лучших летных характеристик. Кроме того, предполагалось сделать самолет настолько простым в управлении, насколько это возможно, а также обеспечить сравнительную безопасность для посредственного или неопытного пилота. Это привело к совершенно новой конструкции. В месте крепления крыльев к фюзеляжу имеется устройство, которое позволяет крыльям в некоторой степени адаптироваться к условиям полета, вызванным порывами ветра, не нарушая устойчивости самолета.

В качестве средства поддержания устойчивого полета без воздействия на рычаги управления при любых условиях и при этом сохранения управляемости конструктор применил устройство, которое соединяет рули высоты и крылья, заставляя их двигаться в унисон. Дальнейшее движение в эту сторону, а также стремление к тому, чтобы самолет как можно меньше был подвержен срыву в штопор, привело к выбору короткого фюзеляжа и применение профиля Gottingen 348 для крыла.

Как упоминалось ранее, конструкция представляет интерес из-за принципа использования ряда типовых узлов, которые крепятся на раме из стальных труб, образующую каркас самолета и служащую центральным силовым элементом для крепления хвостовой части фюзеляжа, крыльев, двигательной установки, шасси, сидений пилота и пассажира.

Фюзеляж прямоугольного сечения, состоит из стрингерного каркаса с обшивкой из фанеры. Стрингеры и стойки фюзеляжа имеют одинаковое треугольное поперечное сечение.

В кормовой части собственно фюзеляж завершается прямоугольным шпангоутом к которому шарнирно прикреплены рули высоты и руль направления и к которому также крепится хвостовая опора.

Хвостовая часть заканчивается обтекателем в виде дюралюминиевой пирамиды, который также прикреплен к хвостовому шпангоуту.

Рули высоты установлены с необходимым зазором для правильной их работы.

Неподвижного стабилизатора и киля не имеется.

Крыло высокого удлинения имеет два узкими лонжеронами коробчатого сечения, расположенных относительно близко друг к другу. Пространство между ними содержит соединительные трубчатые распорки, которые проходят от нижней полки переднего лонжерона к верхней полке заднего лонжерона, в то время как другой ряд стоек проходит примерно от нейтральной оси заднего лонжерона к задней кромке крыла, и еще один ряд от нижней полки заднего лонжерона к задней кромке крыла и еще один ряд от нижней полки заднего лонжерона до верхней полки нервюры крыла с вертикальной стойкой от этой точки к нижней полке нервюры.

Существует всего три различных типа нервюр, и для снижения стоимости используется их минимальное количество. Они расположены на расстоянии от 0,8 м до 1 м друг от друга. Фанерная обшивка крыла крепится к широко расставленным нервюрам и усилена от местного прогиба продольными треугольными стрингерами, которые проходят параллельно лонжеронам.

С помощью устройства, позволяющего крыльям приспосабливаться к условиям полета, вызванным порывами ветра, крылья колеблются вокруг оси, расположенной в креплении сразу за передним лонжероном, в то время как прогибам при кручении противостоят спиральные пружины, опоясывающие длинные болты, которые проходят сверху донизу лонжеронов. Эти болты снабжены клинообразными гайками сверху и снизу для зацепления их в стальных пластинах с прорезями - особенность всех самолетов Caspar - и используются для создания быстросъемного соединения, когда крыло делится на несколько частей. Однако добавление пружин является чем-то новым. В ходе испытания было обнаружено, что крылья, автоматически меняющие угол установки, делают самолет особенно нечувствительным к порывам ветра, устойчивый полет сохраняется даже в очень "ухабистую” погоду, в то время как другая особенность получения дополнительной подъемной силы за счет их колебаний не упоминалась в отчете об испытании.

Шасси, показанное на схеме, по-видимому, несколько отличается от обычного типа. Хотя, используются амортизаторы из эластичного шнура, который, по-видимому, обернут вокруг оси и фитингов, прикрепленных к концам двух стоек.

Используется колеса обычного типа, состоящие из проволочных спиц, покрытых брезентом обычным способом, и пневматической шины. Вся конструкция кажется очень прочной.

Двигатель установлен на металлической раме и приводит в движение пропеллер Bork диаметром около 4 футов (1,2 м). Утверждается, что мощность двигателя составляет 30 л.с. при 3200 оборотах в минуту, и во время испытательного полета самолет летел на постоянной высоте с мощностью 16 л.с. при 2200 оборотах в минуту. Что показывает, что запас по мощности удовлетворительный и достаточный для нормального полета с задросселированным двигателем.

Технические характеристики:

Вес пустого - 145 кг
Полезная нагрузка 180 кг
Взлетный вес - 325 кг,
Разбег - 80 м
Посадочная скорость - 55 км/час.
Максимальная скорость - 115 км/час.
Скорость набора высоты 1000 м - 12 минут
Предполагаемый потолок - 3500 м
Нагрузка на крыло - 20,8 кг/м2
Нагрузка на мощность - 10,8 кг/л.с.

Рис. 12 содержит общие чертежи, размеры, площади и данные о двигателе.
012.JPG
 
Вот что писал Flight.
ЛЕГКИЙ ДВУХМЕСТНЫЙ МОНОПЛАН CASPAR "C.17"

с двигателем A.B.C. "Scorpion"​
Flight, November 1924
НЕСКОЛЬКО месяцев назад мы упоминали во "FLIGHT", что был продан первый двигатель A.B.C. "Scorpion" для использования на легких самолетах, и что, как ни странно, он был продан немецкой фирме "Каспар-Верке" из Травемюнде. Машина, для которой предназначался "Скорпион", была закончена некоторое время назад и, как мы понимаем, показала себя довольно хорошо в полете с небольшой британской силовой установкой.
"C.17" - так называется двухместный легкий моноплан - был разработан главным конструктором Caspar works, Дипл.-Инж. Эрнстом Риттером фон Лесслем и включает в себя несколько неклассических особенностей. За объяснение объектов, которые имел в виду дизайнер, и причин, по которым были выбраны некоторые компоновки, мы благодарны герру К.В. Эриху Мейеру, редактору Deutsche Motor-Zeitschrift, который дает авторитетный анализ машины в своем журнале. Кстати, можно упомянуть, что герр Майер, который во время войны был членом знаменитой эскадрильи Рихтгофена, выполнял испытательные полеты на Каспаре "С.17", так что он пишет со знанием дела.

Требования, которым должен был соответствовать конструктор, заключались в том, что машина должна обладать как можно меньшей мощностью двигателя, чтобы в этом отношении следовать опыту, накопленному при эксплуатации легких одноместных самолетов. Расход топлива должен был быть низким, чтобы стоимость бензина пропорционально не превышала стоимость для двухместного аппарата по сравнению с одноместным. Несмотря на это, машина должна была обладать характеристиками и маневренностью, подходящими для обучения, спортивных полетов и путешествий. Несмотря на все эти несколько сложные требования, конструкция, которая должна была быть принята, должна была быть такой, чтобы обеспечить небольшую ее стоимость, поскольку считалось, что в противном случае вся цель задумки была бы разрушена.

Требования, кратко изложенные выше, повлияли на работу конструктора при проектировании его машины, и решение сделать ее монопланом с низкорасположенным крылом высокого удлинения было, конечно, результатом стремления к высокой аэродинамической эффективности. Эти решения были необходимы для того, чтобы обеспечить машине, без какого-либо чрезмерного увеличения мощности двигателя, дальность полета, сравнимую с той, которая считается желательной для коммерческих самолетов. Конструктивные детали были спланированы таким образом, чтобы обеспечить низкую себестоимость производства, не за счет изготовления машины из некачественных и дешевых материалов, а за счет максимально возможного упрощения работ, сокращения количества деталей до минимума и стандартизации элементов определенных размеров для использования во всей машине (таким образом, для примера, стрингеры, используемые в фюзеляже, хвостовом оперении и крыльях, имеют одинаковые размеры и треугольное сечение.)

1694791770661.png

ЛЕГКИЙ МОНОПЛАН CASPAR: вид спереди в три четверти. Двигатель - A.B.C. "Scorpion".

1694791783872.png

Каспар С.17. Двигатель A.B.C. Scorpion мощностью 20 л.с.

Как видно из сопроводительных иллюстраций, низкоплан Caspar "C.17" имеет довольно типичные "немецкие" черты, то есть высокое удлинение, крыло большого размаха и очень короткий фюзеляж - это черты, которые ассоциируются с самолетами немецкого происхождения. В Германии тенденция заключалась скорее в увеличении длины фюзеляжей, чтобы вывести хвост из нисходящей струи, и ориентироваться на более длинное плечо оперения. Однако в Caspar дизайнер явно имел в виду то, чего он хотел достичь, и короткий фюзеляж - это не просто общепринятая пропорция, он был выбран намеренно. Высокое удлинение крыла было, конечно же, выбрано из соображений его эффективности. Также было желательно сделать машину как можно более простой в управлении, чтобы даже пилот с невысокой квалификацией мог управлять ею сравнительно безопасно. Для достижения этой цели конструктор применил новый принцип крепления крыльев, благодаря которому под действием порывов ветра крылья могут в некоторой степени адаптироваться к новым условиям, (меняя угол установки) не нарушая равновесия машины. Планер, разработанный герром фон Лесслем и включающий в себя эту функцию, был запущен герром Мейером в 1922 году в Роне, причем шарнирно установленные крылья были предназначены для использования преимуществ так называемого "эффекта Кноллера-Бетца". Однако в Caspar "C.17" конструктор пошел еще дальше и соединил руль высоты и крыло так, что они движутся в унисон, сохраняя тангаж машины при любых условиях и сохраняя управляемость. Эти соображения и желание сделать машину как можно менее склонной к входу в штопор являются основными причинами короткого фюзеляжа. Профиль крыла также была выбран с целью помочь в этом направлении, и это был "Геттинген № 348".

Конструктивные детали
Конструктивно Caspar "C.17" представляет интерес главным образом из-за используемого принципа сборки машины в виде серии отдельных узлов, которые после завершения сборки крепятся к центральному каркасу из стальных труб, образующий силовой каркас машины и служит центральной точкой крепления фюзеляжа, крыла, двигательной установки, шасси, несущий вес пилота и пассажира.
Фюзеляж имеет прямоугольное сечение и состоит из каркаса из стрингеров с обшивкой из трехслойной фанеры. Все стрингеры имеют то же треугольное сечение, что и используемые в крыле, и стойки фюзеляжа, которые расположены так, чтобы образовывать треугольники, имеют то же сечение. В кормовой части собственно фюзеляж заканчивается прямоугольным шпангоутом, к которому шарнирно прикреплены руль высоты и руль направления и на который закреплена хвостовая опора. Обтекаемость обеспечивается дюралюминиевой пирамидой, прикрученной болтами к кормовому шпангоуту, а руль высоты разделен, чтобы не проходить через фюзеляж. Нет ни неподвижной части горизонтального оперения, ни какого-либо фиксированного вертикального оперения перед рулем направления, который установлен над фюзеляжем.
The wing has two box-section spars, placed relatively close together, and the total number of ribs, as well as the number of different ribs, has been kept as small as possible for the sake of cheapness. Thus the rib spacing is 0-8 to 1 m. (2 ft. 7 ins. to 3 ft. 3 ins.), and there are but three different sizes of ribs. The space between the two main spars is braced by tubes running from, the lower edge of the front spar to the top edge of the rear spar, as shown in the illustration, while another series of tubes run from about the neutral axis of the rear spar to the trailing edge. The wing covering is in the form of three-ply attached to the widely-spaced ribs. Stringers running parallel with the spars stiffen the covering against local buckling.
Крыло имеет два лонжерона коробчатого сечения, расположенных относительно близко друг к другу, и общее количество нервюр, а также количество различных ребер было применено как можно в меньшем количестве в целях удешевления. Таким образом, расстояние между нервюрами составляет от 0,8 до 1 м (от 2 футов 7 дюймов до 3 футов 3 дюймов), и существует всего три различных типоразмера нервюр. Пространство между двумя основными лонжеронами укреплено трубчатыми распорками, идущими от нижнего края переднего лонжерона к верхнему краю заднего лонжерона, как показано на рисунке, в то время как другой ряд труб проходит примерно от нейтральной оси заднего лонжерона к задней кромке.

1694791850782.png

1694791856919.png

Крылья легкого моноплана Caspar шарнирно крепятся с помощью пружин, чтобы использовать преимущества порывов ветра. Количество нервюр сведено к минимуму.



Обшивка крыла выполнена в виде трехслойной переклейки, прикрепленной к широко расставленным нервюрам. Стрингеры, проходящие параллельно лонжеронам, придают обшивке жесткость, предотвращая локальную деформацию.

Уже упоминалось о подпружиненных крыльях. На одной из наших иллюстраций показаны пружины на внутренних концах лонжеронов крыла. Крылья поворачиваются вокруг точки, расположенной сразу за передним лонжероном, как показано на фотографии. Длинный болт с клиновидными гайками сверху и снизу для зацепления со стальными пластинами с прорезями является отличительной особенностью всех машин Caspar и используется для быстросъемного соединения, когда крыло состоит из нескольких секций. Однако добавление пружин является чем-то новым.

Герр Мейер утверждает, что во время проведенных им испытательных полетов было обнаружено, что подпружиненные крылья делают машину особенно нечувствительной к порывам ветра, обеспечивая устойчивый полет даже в очень "ухабистый" день. Была ли достигнута другая цель такого расположения крыла, т.е. использование преимуществ махов крыла и получение за счет этого дополнительной подъемной силы, не указано, и, в любом случае, представляется, что величина дополнительной подъемной силы, которая может быть получена таким образом, должна быть слишком мала, чтобы быть легко заметной.

Двигатель A.B.C. "Scorpion" установлен на металлической раме и приводит в движение воздушный винт Bork диаметром 1,2 м (3 фута 11 дюймов). Перевозимого количества топлива хватит на 2 - 2,5 часа. Заявлено, что мощность двигателя составляет 30 л.с. при 3200 оборотах в минуту, и во время испытательных полетов было установлено, что машина будет летать без потери высоты при пониженной мощности двигателя до 2200 оборотов в минуту, что соответствует приблизительно 16 л.с. Следовательно, величина запаса мощности должна быть удовлетворительной и позволять нормально выполнять полет с задроссерированным двигателем.

Пустой вес машины составляет 145 кг (320 фунтов), а общий загруженный вес (при полезной нагрузке 180 кг) составляет 715 фунтов (324 кг), что чрезвычайно хорошо и выгодно отличает их от самых легких машин (Hawker) представленных на соревнованиях в Лимпне. Никаких испытаний на скорость на мерном маршруте не проводилось, но, согласно показаниям индикатора воздушной скорости, скорость в горизонтальном полете составляла от 110 до 120 км/час (от 69 до 75 миль в час) при работающем двигателе на частоте 3200-3300 оборотов в минуту. Во время набора высоты с оборотами от 3000 до 3100 оборотов в минуту индикатор воздушной скорости показывал от 100 до 105 км/час (от 62 до 65 миль в час). Высота в 300 м (985 футов) была достигнута примерно за 2 минуты, и машина поднялась на 1000 м (3280 футов) за 12 минут.

После первых испытательных полетов, утверждает герр Мейер, машина взлетела через 60 м (67 ярдов) при ветре от 4 до 5 метров в секунду, а при второй попытке это расстояние сократилось до 40 м (45 ярдов). В первый раз, когда машина летала с пассажиром (герром фон Лесслем) на борту, ей пришлось взлетать при встречном ветре, и разбег тогда составлял менее 80 м.

В другой раз самолет C.17, пилотируемый другим пилотом, снова перевозивший пассажира, достиг высоты 1450 м (4750 футов), но подняться выше не смог из-за облачности. Предполагаемый потолок составляет 3500 м. (11 500 футов). Посадочная скорость составляет от 50 до 55 км/час (от 31 до 34,5 миль в час). При максимальной мощности в 30 л.с. нагрузка на мощность Caspar C.17 составляет 23,85 фунтов/л.с.(10,8 кг/лс), в то время как нагрузка на крыло составляет 474 фунта на квадратный фут (20,8 кг/м2).
 
Первоисточник.
Моноплан "Удет” (Udet)

(Книга Jane's "All the World’s Aircraft", 1923 год.)​

Легкий самолет “Удет” (двухместный моноплан с низкорасположенным крылом), еще одно изделие “Удет Флюгцойгбау” (Udet Flugzeugbau), предназначен для тренировочных и спортивных полетов.

Крыло цельное, лонжероны проходят под фюзеляжем. Лонжероны коробчатого сечения обладают достаточной прочностью, особое внимание было уделено нагрузкам, возникающим при маневрах и при выходе из пикирования.

Фюзеляж сделан из фанеры. Предусмотрены два тандемных сиденья, расположенных очень близко друг к другу, причем пилот занимает переднее сиденье, что значительно облегчает общение.

Двигатель вынесен вперед на конструкции из стальных труб с металлической огнеупорной переборкой, отделяющей его от фюзеляжа.

Соотношение площадей подвижных поверхностей управления к неподвижным подобрано таким образом, чтобы управление было таким легким, как если бы руль направления и руль высоты были сбалансированы.

Шасси имеет традиционную конструкцию, с резиношнуровой амортизацией. Колеса снабжены стандартными мотоциклетными шинами, которые легко приобрести.

Технические характеристики:

Вес пустого - 330 кг
Вес полетный - 410 кг
Нагрузка на крыло - 46,6 кг/м2
Нагрузка на мощность - 11,7 кг/л.с.
Скорость - 155 км/час

Рис. 13 содержит общие чертежи, размеры, площади и данные о двигателе.
013.JPG
 
Вообще-то было разработано 2 модели низкоплана от асса Первой мировой Удета. Одноместный и двухместный легкие самолеты.
Вот что писал FLIGHT.
СПОРТИВНЫЙ ОДНОМЕСТНЫЙ САМОЛЕТ UDET

Новинка в немецкой авиастроительной промышленности​

Flight, July 1922

КОГДА было объявлено, что при соблюдении определенных ограничений по мощности двигателей Германия снова сможет свободно строить самолеты, мы выразили мнение, что, вероятно, правила приведут к значительному повышению аэродинамического качества немецких машин и что будет произведено довольно много новых небольших машин. Недавно мы описали несколько таких аппаратов, и на этой неделе у нас есть возможность рассказать подробнее еще об одном небольшом одноместном самолете, на этот раз произведенном фирмой, которая была создана совсем недавно. Фирма, штаб-квартира которой находится в Мюнхене, известна как Udet Aircraft Works и была основана капитаном Д. Удетом (D. Udet), который был известным немецким воздушным бойцом во время войны. Кстати, обновленный спортивный моноплан, насколько нам известно, является первой послевоенной машиной, спроектированной и построенной в Баварии.

Моноплан "Удет" был спроектирован техническими помощниками капитана Дж. Удета, Хансом Херрманном (Hans Herrmann) и А.Р. Вейлем (A. R. Weyl), и, как будет видно из сопроводительных иллюстраций, это свободнонесущий низкоплан типа машин Юнкерса. Машина характеризуется наличием крыльев свободнонесущего типа с необычно высоким удлинением, примерно 9:1. Обычно для свободнонесущих крыльев используется гораздо меньшее удлинение, чтобы снизить нагрузки. Однако нет никаких сомнений в том, что более высокое удлинение крыла приводит к значительному повышению аэродинамического качества, а также к тому, что машина становится намного удобнее в обращении, и, учитывая тот факт, что вес всей машины без груза составляет всего 440 фунтов (200 кг), крылья не могут быть чрезмерно тяжелыми.

В конструкции моноплана "Удет" в основном использовалось дерево, особенно в трехслойных обшивках, за исключением крепления двигателя, органов управления и шасси. Крыло выполнено цельным, из трехслойных нервюр, на двух коробчатых лонжеронах с еловыми полками и трехслойными боковыми стенками. Одна из наших фотографий дает представление об общей конструкции. Площадь крыла составляет всего 86 кв. футов (8 м2), а поскольку вес машины с полной загрузкой составляет 640 фунтов (290 кг), нагрузка на крыло составляет 7,44 фунта. на квадратный фут (36 кг/м2). У нас нет информации ни об используемом профиле крыла, ни о посадочной скорости машины, но утверждается, что благодаря хорошей форме крыла машина с таким же небольшим двигателем легко перевозила бы пассажира. Что касается прочности конструкции крыла, то нам сообщили, что коэффициент запаса прочности везде превышает 7; в случае переднего лонжерона он даже превышает 10. Конструкторы позаботились о таких высоких показателях безопасности, что даже в руках сравнительно неопытных частных владельцев было бы трудно, если не сказать невозможно, управлять машиной таким образом, чтобы вызвать поломку в воздухе. Элероны имеют большое удлинение, хотя и небольшую площадь, они шарнирно прикреплены к заднему лонжерону.

Корневая часть лонжеронов крыла входит в углубления в нижней части фюзеляжа, нижние лонжероны фюзеляжа соответствующим образом укреплены для их размещения. Крыло удерживаются на месте восемью большими болтами. Похоже, что для снятия крыла с машины необходимо снять шасси, но поскольку между задними стойками нет крепления, а стойки крепятся с помощью легко снимаемых шаровых шарниров, операция не должна занять много минут. Снятое крыло помещается на специальные рамки над фюзеляжем, и машину, как утверждается, можно буксировать за хвостовую часть на обычном мотоцикле. На самом деле, недавно машина была таким образом провезена по улицам Мюнхена, к большому удовольствию прохожих.

Фюзеляж, имеющий прямоугольное сечение со слегка изогнутым гаргротом, покрыт трехслойной обшивкой, так что проволочные растяжки в раме не используются. Исключением является передняя часть, на которой установлен двигатель Haacke мощностью 30 л.с. Эта часть фюзеляжа изготовлена из стальных труб и расположена таким образом, что весь двигатель может быть сдвинут на несколько дюймов в направлении вперед-назад для обеспечения центровки. Однако, поскольку вес двигателя составляет всего около 140 фунтов (63,5 кг), вряд ли следует ожидать, что перемещение на пару дюймов (5 см) может оказать какое-либо заметное влияние на балансировку машины. Как будет видно, кресло пилота расположено относительно далеко в корме из-за легкого двигателя, и на самом деле мы понимаем, что в следующей машине оно будет передвинуто вперед. Для планируемого двухместного аппарата нынешнее местоположение будет сохранено. Элементы управления обычного типа и не требуют каких-либо комментариев.

Бензобак расположен в верхней части фюзеляжа, за огнеупорной переборкой, и утверждается, что можно поддерживать достаточный напор для подачи бензина непосредственно самотеком. Обычно топлива хватает на 2 с половиной часа полета на полном газу, но при желании совершать более длительные полеты можно легко установить дополнительные баки.

Шасси самолета обычного V-образного типа, со стойками из обтекаемой стальной трубы, прикрепленными к фюзеляжу шаровыми шарнирами и имеющими поперечные крепления только в переднем отсеке. Колея колеса составляет всего 4 фута 10 дюймов (1,47 м). Особенностью конструкции является расположение ходовой части. С бокового возвышения будет видно, что колеса необычно далеко отведены назад, и можно было бы предположить, что машина может иметь тенденцию вставать на нос. Вероятно, когда кресло пилота будет сдвинуто вперед, шасси также будет сдвинуто вперед.

Помимо заявления о том, что они свободнонесущего типа, хвостовые поверхности не требуют комментариев, за исключением указания на то, что горизонтальное оперение, по-видимому, имеет отрицательное V, как у некоторых машин Pfalz военного периода.

Утверждается, что во время недавних испытательных полетов моноплан Udet, пилотируемый капитаном Удетом, показал себя очень хорошо, хотя перед запуском его в серийное производство все еще необходимы определенные модификации. Когда это будет сделано, машина должна понравиться многим из-за ее низких эксплуатационных расходов.

Основные характеристики моноплана Udet можно почерпнуть из следующей краткой спецификации:

Двигатель -30-40 л.с. Haacke (2-цилиндровый с оппозитным воздушным охлаждением);
Длина - приблизительно, 20 футов 4 дюйма (6,2 м);
Размах - 29 футов 2 дюйма (8,9 м);
Максимальная ширина - 4 фута (1,22 м);
Минимальная ширина - 2 фута 7 дюймов (0,79 м);
Площадь крыла - 86 кв. футов (8 м2);
Высота - 5 футов 7 дюймов (1,7 м);
Вес пустой машины - 440 фунтов (200 кг);
Вес с полной загрузкой - 640 фунтов (290 кг);
Нагрузка на мощность - 16 фунтов/л.с.(7,3 кг/лс);
Нагрузка на крыло – 7,44 фунта/кв. фут (36,2 кг/м2);
Максимальная скорость - 180 км (110 миль) в час;
Набор высоты 3300 футов - 6 минут;
Продолжительность полета со стандартными баками – 2,5 часа.
1694792111056.png

Спортивный одноместный самолет Udet: вид спереди в три четверти.

1694792125342.png

Спортивный одноместный самолет Udet: вид сзади в три четверти.

1694792138041.png

Спортивный одноместный самолет Udet: Вид на каркас крыла.

1694792153889.png

Моноплан Удета с двигателем Хааке мощностью 30 л.с.
 
СПОРТИВНЫЙ ДВУХМЕСТНЫЙ САМОЛЕТ "UDET"

Двигатель Haacke мощностью 35 л.с.​

Flight, March 1923

В нашем номере от 13 июля 1922 года мы опубликовали иллюстрации и описание бюджетного спортивного одноместного моноплана, построенного мюнхенским авиастроительным заводом Udet Aircraft Works. С тех пор эта фирма экспериментировала с разработкой оригинальной экспериментальной машины, и в результате двухместный аппарат, внешне похожий на первую машину, был разработан до такой степени, что дизайнеры почувствовали, что могут рекомендовать его для массового производства. В настоящее время это делается, и поскольку машина представляет собой очень хороший пример того, что можно сделать с использованием двигателя малой мощности, мы подумали, что краткая ссылка на нее может быть интересна читателям FLIGHT .

Из прилагаемых масштабных чертежей видно, что моноплан Удета, несмотря на то, что у него свободнонесущее крыло, имеет высокое удлинение крыла. Это, в сочетании с четкими линиями машины, без сомнения, в основном отвечает за общую эффективность, и хотя лично мы придерживаемся мнения, что нагрузка на крыло слишком высока для машины такого типа, нет сомнений в том, что максимальная скорость необычайно хороша для такого маломощного двигателя. Производители заявляют, что максимальная скорость составляет около 150-155 км/ч (93-96 миль в час). Поскольку нагрузка на крыло составляет около 47 кг/м2, посадочная скорость, вероятно, высока. Производители не приводят никаких цифр, но приблизительная оценка показывает, что минимальная скорость не может быть намного меньше 50 миль в час (80 км/ч). Что само по себе не является высоким показателем для обычного самолета, но поскольку машина такого типа, вероятно, не предназначена для использования опытными пилотами, то снижение посадочной скорости примерно на 10 миль в час (16 км/ч), как мы думаем, не принесло бы вреда. Однако это в основном вопрос личного мнения, и если желательна хорошая максимальная скорость, то довольно высокая посадочная скорость неизбежна.

Конструктивно двухместный самолет Udet аналогичен одноместному, т.е. фюзеляж представляет собой конструкцию, покрытую фанерой с плоскими бортами, в то время как крылья построены на двух коробчатых лонжеронах, имеющих полки из ели и трехслойные борта. Выбор низкого положения крыла, несомненно, был сделан главным образом из-за желания использовать цельное крыло. С крылом, расположенным над фюзеляжем, это было бы затруднительно, так как размещение кабин мешало бы креплению заднего лонжерона. Обычно считается, что с аэродинамической точки зрения такое расположение крыла несколько уступает типу "парасоль" или "высокоплан": однако нет сомнений в том, что как конструктивно, так и с точки зрения хорошей видимости для пилота нынешняя компоновка имеет все основания рекомендовать ее. Еще одним преимуществом низкорасположенного крыла является то, что становится легче, не обеспечивая очень широкую колесную колею, обеспечить защиту машины от опрокидывания на бок. В случае с Udet указано, что машина может наклоняться до тех пор, пока не коснется кончиком крыла, и единственным результатом является то, что крыло возвращает ее назад на шасси без повреждения самого крыла.

Крепление крыла к фюзеляжу интересно и в чем-то похоже на то, что применял Фоккер в случае некоторых своих бипланов и трипланов, то есть лонжероны опираются на вырезанную часть и крепятся четырьмя болтами. Поскольку продольные элементы фюзеляжа опираются непосредственно на лонжероны крыла, четыре болта не должны выдерживать нагрузку, как это было бы в случае размещения крыла сверху, а просто служат для фиксации крыла.

Для того чтобы снять крыло, фюзеляж укладывается на два козелка. Задние стойки шасси отсоединяются, и шасси перемещаются вперед, тогда можно отсоединить четыре болта и крыло выпадает из своего паза. Для целей транспортировки крыло размещается над фюзеляжем на двух специальных рамках, предусмотренных для этой цели.

Двухцилиндровый двигатель Haacke аккуратно установлен в носовой части машины и весь закрыт капотом кроме цилиндров. Бензобак расположен между пилотом и огнеупорной переборкой двигателя, и указано, что "напор" достаточен для обеспечения прямой подачи топлива самотеком. Кстати, если мы позволим себе небольшую критику в адрес двигателя Bristol "Cherub", то, по-видимому, карбюратор можно было бы лучше разместить под двигателем, а не сверху него. Таким образом, была бы облегчена подача самотеком. Однако, если сочтут желательным, это небольшое изменение, вероятно, можно легко внести. Нормальная частота вращения вала двигателя Haacke составляет 1400 об./мин., но Udet может лететь без снижения на пониженной мощности двигателя примерно до 950 об./мин. Говорят, что машина очень маневренна, и не слишком чувствительна к управлению. и мы понимаем, что управлять им оказалось особенно легко: пилоты, которые не летали со времен войны, попробовали его и не обнаружили никаких трудностей в обращении с ним. Разбег, необходимый для взлета, указан 45 метров (около 50 ярдов), а пробег при посадке составляет около 40 ярдов (37 м), поскольку шасси довольно высокое, оно обеспечивает большой стояночный угол, когда хвост находится на земле.

Основные характеристики двухместного спортивного моноплана Udet следующие:

Длина - приблизительно, 5,53 м;
Размах – 8,9 м;
Высота – 2,1 м;
Площадь крыла – 8,8 кв. м;
Вес пустого - 230 кг;
Полезная нагрузка - 181,5 кг;
Общий вес с грузом - 411 кг;
Нагрузка на крыло – 46,7 кг/м2;
Нагрузка на мощность – 11,7 кг/л.с.;
Максимальная скорость - 150 км/час;
Набор высоты до 1000 м - 8 минут;
Нормальная дальность полета - 500 км.
1694792199091.png

1694792205087.png

1694792225154.png

Двухместный моноплан Udet с двигателем Haacke мощностью 35 л.с.
 
Первоисточник.
Моноплан “KF”

(Справочник Jane's "All the World’s Aircraft”, 1924)​

Легкий самолет Aachen "KF" (одноместный моноплан с высокорасположенным крылом), разработанный компанией Klemperer и построенный компанией Aachenex Segelflugzeugbau Ltd., представляет собой моноплан с толстым крылом и центропланной частью крыла, жестко прикрепленной к фюзеляжу. Внешние консоли крыла полностью свободнонесущие, с выраженной стреловидностью передней кромки на концах.

Фюзеляж имеет прямоугольное сечение с перевернутым v-образным гаргротом. Кабина пилота расположена под крылом, и в этом месте палуба занижена.

Шасси состоит из двух обтекаемых, наклоненных наружу стоек, которые выступают из нижней части фюзеляжа, а на их концах расположены колеса с пружинами.
Киль и руль направления необычны своей наклонной назад формой.
Самолету приписывается начальная скорость набора высоты 60 м в минуту и максимальная скорость 46 миль в час

На рис. 14 приведены общие чертежи, площади и данные о двигателе.
014.JPG
 
Информация из другого источника
KF
1694792435680.png

1694792444456.png

1694792453259.png

Участник конкурса легких самолетов в Рен, 1924 год
 
Первоисточник.
ЛЕГКОМОТОРНЫЙ САМОЛЕТ ЛИТВЫ

Моноплан "Добкявичюс" (Dobkevicius).

(Справочник Jane’s "All the World's Aircraft", 1923 год.)​

Легкий самолет "Добкявичюс" (одноместный моноплан с высокорасположенным крылом) был спроектирован, построен и облетан молодым литовским инженером в Каунасе. Он несколько мал по размерам, но был признан очень эффективным, пропорциональным и обладающим хорошими аэродинамическими характеристиками.

Фюзеляж очень глубокий, узкий и короткий, но хорошей обтекаемой формы. Он имеет четыре лонжерона из ясеня и покрыт трехслойной древесиной. Передняя часть, или капот двигателя из алюминиевого листа. Гаргрот фюзеляжа хорошо обтекаем, и в поперечном сечении соответствует форме головы и плеч пилота. Кабина пилота расположена примерно на одной трети хорды от задней кромки, и для облегчения обзора сверху в крылья на их стыке с фюзеляжем вмонтированы большие прозрачные панели.
Органы управления вполне стандартные, без каких-либо выступающих наружу элементов, которые увеличивали бы сопротивление.
Конструкция шасси вполне традиционная с перевернутыми V-образными боковыми стойками и резиношнуровыми амортизаторами. Используются колеса двух размеров: меньшего размера, показанные на чертеже в общих чертах, для ровных аэродромов; в то время как колеса большего размера используются для полетов по пересеченной местности.
При посадке с выключенным двигателем самолет очень медленно теряет высоту, что является еще одним свидетельством его хорошего аэродинамического качества. Говорят посадочная скорость его очень небольшая.
Двигатель установлен на двух многослойных деревянных рамах и нижних лонжеронах фюзеляжа.
Все тяжелые компоненты расположены очень близко к центру тяжести.
Бензобак установлен в верхней части фюзеляжа непосредственно перед пилотом, и одновременно служит и ветровым щитком, и обтекателем.

Технические характеристики:

Вес пустого - 167 кг
Полетный вес - 295 кг
Нагрузка на крыло - 39 кг/м2
Нагрузка на мощность - 8,45 кг/л.с.
Объем бензина - 60 л
Объем масла - 5 л

Обычные линейные чертежи с указанием размеров, площадей и данных двигателя приведены на рис. 15.
015.JPG
 
Из других источников.
1694792614289.png

Dobi-I
1694792652207.png

Самолет Dobi-I на испытаниях. В кабине - конструктор Юргис Добкявичус, 1922 г.
Авиация и Космонавтика 2018-01
 
Первоисточник.
ЛЕГКОМОТОРНЫЙ САМОЛЕТ ИТАЛИИ

Моноплан “Рондин” (Rondine)

("L'Aeronautique", июль 1923 г., и Справочник Jane's "All the World’s Aircraft", 1923 г.)​

Легкий самолет "Рондин” (одноместный моноплан), также известный как "Пегна-Бонмартин" (Pegna-Bonmartine), производства "Военно-морской авиации" (Construzioni Navali- Aeronautiche), является поразительно интересным самолетом.

Согласно опубликованной информации, он совершил полет продолжительностью 50 минут на высоте 300 м с двигателем A.B.C. мощностью 3,5 л.с.

Взлет и посадка были совершены на обычном шоссе.

Технические характеристики:

Аэродинамическое качество - 15,
Коэффициент безопасности - 5.
Вес пустого - 130 кг
Полетный вес - 210 кг (с запасом бензина, достаточным для пятичасового полета)
Минимальная скорость - 35 км/час.
Максимальная скорость - 78 км/час.
Потолок - 1500 м
Объем двигателя - 400 см3,
Мощность двигателя - 3,5 л.с. при 2800 об/мин и 5,75 л.с. при 3500 об/мин.

Общие чертежи, размеры, площади и данные о двигателе приведены на рис. 16.
016.JPG
 
Вот что писал Flight.
ЛЕГКИЙ МОНОПЛАН PEGNA " RONDINE"

С двигателем объемом 400 куб.см.​

Flight, December 1923

ПОСТЕПЕННО движение легких самолетов распространяется. Первоначально мяч был запущен французскими конструкторами. Затем за дело взялась Англия и показала превосходством машин, собранных в Лимпне в октябре прошлого года, так что в этом классе, а также в более "серьезных" типах британские конструкторы могут более чем постоять за себя. В Бельгии и Голландии начинают появляться легкие самолеты, некоторые из которых показали очень хорошие характеристики. В Германии мало что было сделано, хотя было построено два или три легких самолета. Америка только начинает проявлять интерес, хотя следует отметить, что отдельные экспериментаторы время от времени производили маломощные машины, однако движение по-настоящему не распространилось на более широкие круги. Теперь Италия положила начало, и, благодаря любезности нашего итальянского издания Notiziario di Aeronautica, на этой неделе мы можем опубликовать чертежи общей компоновки и фотографии первого итальянского легкомоторного самолета Pegna "Рондине" (Ласточка).

"Рондин" был спроектирован синьором Джованни Пенья (Giovanni Pegna) и построен фирмой Piaggio and Co. из Рима. Как будет видно, в определенных отношениях машина мало чем отличается от планера-моноплана Klemperer Aachen, с его "брючной" ходовой частью и довольно низким расположением крыла. Однако удлинение толстого свободнонесущего крыла довольно низкое, и поскольку машина рассчитана на низкие скорости и высокую нагрузку на мощность, может возникнуть сомнение в том, что характеристики самолета такие, какие они могли бы быть. Указано, что максимальное аэродинамическое качество самолета составляет 14, что, вероятно, приблизительно верно, поскольку вредное сопротивление, по-видимому, не очень велико. Мы понимаем, что было опробовано несколько двигателей, но они не были признаны удовлетворительными, и что в конечном итоге был опробован оппозитивный двухцилиндровый двигатель A.B.C. объемом 400 куб.см, аналогичный тем, что установлены на " Крапивнике" (English Electric Company's "Wren"), и было установлено, что машина летает довольно хорошо. В этой связи интересно сравнить Wren и Rondine.

Wren при полной загрузке весит 420 фунтов (190,5 кг) и имеет площадь крыла 150 кв.футов (14 м2), что обеспечивает нагрузку на крыло 2,8 фунтов/кв. фут (13,6 кг/м2). Rondine весит с полной загрузкой 464 фунта (210,5 кг)и имеет площадь крыла 215 кв. футов (20 м2), что обеспечивает нагрузку на крыло в 2 16 кв. футов (10,5 кг/м2) . Предполагая, что двигатели развивают одинаковую мощность (10 л.с.), нагрузки на мощность составляют 42 и 46,4 фунта/л.с. (19 и 21 кг/лс) соответственно. Однако указано, что A.B.C., установленный в Rondine, развивает максимум 5,7 л.с. при 3450 оборотах в минуту, и в этом случае нагрузки на мощность Rondine составляет 81,5 фунтов/л.с.(37 кг/лс) максимум.

Что касается минимальной мощности, необходимой для полета без снижения, то Wren, вероятно, будет летать с двигателем, развивающим 3 л.с., то есть чуть более 2 л.с. мощности пропеллера. Заявлено, что Rondine будет лететь без снижения, на высоте 100 метров (330 футов)., с двигателем, работающим при 2400 оборотах в минуту и развивающим около 3 л.с. Таким образом, обеим машинам должна требоваться примерно одинаковая мощность, причем более высокая мощность Rondine, по-видимому, компенсируется несколько меньшей нагрузкой на крыло. С другой стороны, крыло моноплана Wren имеет гораздо более высокое удлинение крыла, и у него отсутствует выступающее в поток шасси, так что можно было бы ожидать, что общее аэродинамическое качество (L/D) этой машины из двух, будет значительно лучше. Конечно, эта цифра лучше, чем 14, приведенные для итальянской машины. Однако следует отметить, что Rondine имеет редуктор пропеллера в соотношении три к одному, так что КПД пропеллера может быть несколько выше. К тому времени, когда принимаются во внимание все эти различные факторы, кажется разумным предположить, что в летных характеристиках разница должна быть незначительной, и это, по-видимому, подтверждается приведенными цифрами.

Конструктивно Rondine несколько необычен не только некоторыми особенностями конструкции крыла, но и в еще большей степени фюзеляжа. Монопланное крыло, представляющее собой единое целое, имеет два основных лонжерона из ели и ферменные нервюры. От точки на переднем лонжероне, расположенной вблизи крепления стойки шасси, стрингеры расходятся лучами наружу и назад, встречаясь с задним лонжероном в ряде точек между кончиком и корнем крыла. Эти стрингеры двойные, то есть один из пары проходит от верхней части лонжерона, а другой - от нижней. По-видимому, они проходят сквозь ферменные нервюры, к которым, по-видимому, они привязаны или приклеены. Насколько можно судить по фотографиям, в крыле отсутствует внутреннее элементы, воспринимающие лобовое сопротивление, и, предположительно, поэтому стрингеры предназначены для восприятия лобового сопротивления, если это так, то похоже, что только задний лонжерон закреплен от действия лобовых нагрузок, а передний лонжерон опирается на нервюры. Нам такая форма крепления не кажется особенно подходящей. Он едва ли может быть таким же прочным, как более обычные формы, и весить, должно быть, почти столько же.

Фюзеляж имеет еще более необычную форму и фактически состоит из двух отдельных секций, нижняя из которых представляет собой несущий желоб, покрытый трехслойной обшивкой, в то время как верхняя и более глубокая часть представляет собой просто очень глубокий обтекатель, состоящий из очень тонких, но близко расположенных стрингеров, опирающихся на легкие опалубки. Насколько можно судить, крыло устанавливается на место до того, как уствнвыливается передняя часть фюзеляжа, так что, по-видимому, нет возможности снять крыло с фюзеляжа после того, как последний будет собран.

Основное шасси самолета двухколесного типа, каждое колесо крепится к частично обтекаемой конструкции, очень похожей на "штаны" планера Aachen. Колея довольно широкая, так как стойки шасси крепятся к крылу на значительном расстоянии от фюзеляжа. Широкая колея, вероятно, необходима, так как законцовки крыльев находятся на значительном расстоянии от земли, и в противном случае может возникнуть некоторый риск бокового опрокидывания машины.

Двигатель, как уже говорилось, это двухцилиндровый двигатель A.B.C. с воздушным охлаждением объемом 400 куб.см. Используется редуктор "три к одному", и, насколько можно судить, он выполнен в виде простой цилиндрической шестерни, заключенной в алюминиевый корпус в передней части двигателя. Таким образом, при максимальных оборотах двигателя в 3450 об/мин пропеллер развивает всего 1150 об/мин, в то время как при снижении мощности до минимально необходимой пропеллер развивает всего 800 об/мин.

Кабина пилота находится примерно в центре хорды крыла, так что обзор, вероятно, несколько ограничен, хотя тот факт, что крыло расположено довольно низко, несколько облегчает ситуацию. Элементы управления обычного типа, с ручкой и ножной перекладиной.

Основные характеристики Pegna Rondine следующие:

  • Длина - приблизительно, 6 м (19 футов 7 дюймов);
  • Размах крыла - 10 м (32 фута 10 дюймов);
  • Средняя хорда крыла - 2 м (6 футов 7 дюймов);
  • Среднее удлинение - 5;
  • Площадь крыла - 20 кв. м (215 кв. футов);
  • Вес машины пустой и без двигателя и т.д. - 90 кг (198 фунтов);
  • Двигатель, редуктор и пропеллер - 35 кг. (77 фунтов);
  • Приборы и т.д. - 6 кг (13-4 фунта);
  • Пилот - 65 кг (143 фунта);
  • Бензин и масло - 15 кг (33 фунта);
  • Общий вес с грузом - 211 кг (464 фунта).
  • Максимальная скорость указана равной 70 км/ч. (43 мили в час)
  • Посадочная скорость - 40 км в час. (25 миль в час).
Понятно, что в результате опыта с Rondine будут построены еще две машины, которые, однако, будут немного отличаться от экспериментальной машины. Во-первых, у них будут разделенное крыло, так что возражение против сложной установки крыла в фюзеляж будет тогда преодолено. Как мы понимаем, одна из этих машин будет одноместной, а другая - двухместной. Они будут оснащены двигателями большей мощности - 15 л.с. и 20 л.с. соответственно, а сами двигатели будут изготовлены Piaggio. Ожидается, что оба вида будут готовы в начале нового года. Rondine совершил около 100 полетов и, как утверждается, показал хорошую управляемость, будучи одновременно устойчивым и маневренным.
1694792814932.png

Pegna Rondine. На фотографии показано шасси часть и установка двигателя. Вставка, машина в полете.

1694792830304.png

Легкий моноплан Pegna "Rondine" с двигателем A.B.C. мощностью 5,7 л.с.

1694792850012.png

Небольшой моноплан Pegna Rondine в процессе производства. Его конструкция имела несколько характерных черт: двухлонжеронное крыло с очень частыми нервюрами и фюзеляж, состоящий из двух частей, верхняя часть которых была образована частыми стрингерами и легкой обшивкой.
1694792861900.png

1694792872534.png
 
Ну и последняя информация из первоисточника.
Пропеллер для легких самолетов​

При выборе пропеллера конструктор легкого самолета найдет NACA-TN - 212 очень полезным. Формулы и указания даны в очень практичной форме, что делает определение диаметра, шага и эффективности очень простой процедурой. Можно составить полный рабочий чертеж со всеми размерами - шириной лопасти, максимальной толщиной, углом атаки и расположением сечений. Максимальная толщина приходится на 30% хорды, и все координаты получены путем умножения этой толщины на значения, указанные в отдельных пунктах.

Однако для того, чтобы следовать указаниям, приведенным в данном техническом примечании, проектировщик должен знать нормальную или тормозную мощность (л.с.) выбранного двигателя и количество оборотов в минуту (N), с которыми он работает, а также скорость полета в милях в час (V).

NACA-TN - 212

017.JPG
 
Меня заинтересовало, как предлагалось широкому кругу неспециалистов спроектировать пропеллер для легкого самолета ученными NACA в 1935 году.
NACA-TN-212
1696674574144.png

Методика оказалась очень простой.
Предлагаю ее вашему вниманию.
 
ТЕХНИЧЕСКИЕ ПРИМЕЧАНИЯ НАЦИОНАЛЬНОГО КОНСУЛЬТАТИВНОГО КОМИТЕТА ПО АЭРОНАВТИКЕ

№ 212

УПРОЩЕННАЯ КОНСТРУКЦИЯ ПРОПЕЛЛЕРА ДЛЯ МАЛОМОЩНЫХ САМОЛЕТОВ

Автор: Фред Э. Вейк,

Бюро аэронавтики, США

январь 1935 года.

Предисловие

Цель этого отчета - предоставить проектировщику и изготовителю небольших самолетов простую систему проектирования воздушного винта и построения чертежа. Используется эмпирический метод проектирования, основанный на испытаниях моделей воздушных винтов в аэродинамической трубе и полномасштабных испытаниях воздушных винтов в полете. Фактическое проектирование осуществляется с помощью графиков и требует очень мало вычислений. Компоновка и чертеж пропеллера также сводятся к простым операциям за счет использования базового или мастер-пропеллера с размерами, указанными в пересчете на диаметр.

Введение

Для каждой комбинации самолета и двигателя существует определенная конфигурация пропеллера, которая обеспечит максимальную скорость. Несколько иная конструкция, имеющая меньший шаг и, как правило, больший диаметр, покажет наилучшие характеристики при наборе высоты. Наилучший пропеллер для круглогодичного использования будет обладать характеристиками между высокоскоростным пропеллером и скороподъемным пропеллером. Поскольку такой пропеллер используется практически повсеместно, в данном отчете рассматривается только он.

В случае тянущего винта, когда фюзеляж находится в обдуве, потребляемая мощность больше, чем при работе изолированного винта. Величина этого увеличения мощности зависит от размера и формы фюзеляжа. При таком способе проектирования считается, что тянущий винт работает в передней части среднестатического фюзеляжа.

Точность, с которой пропеллер будет соответствовать определенным условиям эксплуатации, зависит в первую очередь от правильности исходных данных (л.с., об/мин и скорость) самолета и двигателя. Если они неверны, пропеллер не будет обеспечивать желаемую производительность. Этот отчет основан на данных, достаточно точных для обеспечения проектирования воздушных винтов под самолеты с двигателем мощностью от одной лошадиной силы и менее, до самолетов с двигателем мощностью около пятидесяти лошадиных сил.

Основы проектирования

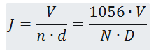
Данными, необходимыми для проектирования воздушного винта, являются мощность двигателя, число оборотов карданного вала двигателя в минуту и скорость самолета. Они включают в себя требуемую производительность комбинации самолета, двигателя и пропеллера. Безразмерный коэффициент, включающий вышеуказанные факторы, называется
1696674654586.png

где

V = скорость полета (фут/сек.)

P = мощность двигателя (фут∙фунт/сек.)

n = обороты двигателя в секунду.

ρ = массовая плотность воздуха.

Этот коэффициент применяется в техническом отчете Уолтера С. Диля (N.A.C.A. TR № 186). Если привести к техническим единицам измерения и использовать значение ρ для стандартной атмосферы, то соотношение примет вид:
1696674684856.png

Где

V - скорость полета (миль/ч)

HP = мощность двигателя (л.с.)

N = количество оборотов в минуту.

Это уравнение может быть легко решено с помощью номограммы на рис. 1.

Условия эксплуатации любого воздушного винта зависят от скорости полета, числа оборотов и диаметра воздушного винта. Они учитываются другим безразмерным коэффициентом, обозначенным J.
1696674739564.png

Где

d = диаметр пропеллера в футах

D = диаметр пропеллера в дюймах.​

Любой пропеллер с шагом p и диаметром D, или отношением шага к диаметру p/D, имеет определенный режим работы или значение J, при котором он работает с максимальной эффективностью. Он также имеет значение J, при котором он должен работать, если это универсальный винт самолета, летящего на максимальной скорости.

На рис. 2 представлена кривая, составленная из ряда этих значений J для различных соотношений шага и диаметра, построенная на основе соответствующих им значений
1696674820758.png

Данные для этой кривой основаны на испытаниях модели военно-морского флота Дюранда, но полностью изменены в ходе летных испытаний, некоторые из которых были проведены под руководством профессора Э. П. Лесли на аэродроме Лэнгли.

Однако большинство из них являются обычными испытаниями на работоспособность пропеллера. Кривая предназначена для универсальных воздушных винтов, установленных в передней части фюзеляжа, имеющего среднее сопротивление и пропорции. Использование кривой простое, она непосредственно показывает значения J и p/D для Коэффициента эффективности, полученного из номограммы рис. 1.

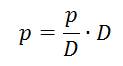
Диаметр винта определяется соотношением:
1696674855904.png

Шаг винта определяется путем умножения диаметра на отношение шага к диаметру, показанное на рис. 2, или
1696674876324.png
 
  • Мне нравится!
Reactions: KAA
КПД винта

Приблизительный КПД гребного винта при работе в рабочем режиме или значении J, для которого он был спроектирован, можно определить по графику на рис. 3. Значение КПД выше при более высоких значениях J.

Винт с понижающим редуктором работает при более высоком значении J, чем соответствующий винт с прямым приводом, и, следовательно, является более эффективным при прочих равных условиях.

КПД гребного винта для наилучшего набора высоты обычно составляет от 0,87 до 0,93 от КПД винта, рассчитанного для максимальной скорости полета.

Имея величину КПД, мощность и скорость полета, можно рассчитать тягу винта в фунтах:
1696674971807.png

Прочность

Напряжения в пропеллере заданных пропорций изменяются в зависимости от квадрата окружной скорости концов лопастей. Практически скорость вращения концов лопастей зависит от диаметра и количества оборотов в минуту. Если произведение числа оборотов и диаметра в дюймах (N∙D) меньше 170 000, напряжения в конкретной конструкции гребного винта, используемого в этом отчете, будут настолько низкими, что можно будет безопасно использовать ель. Если она меньше 210 000, то надо использовать грецкий орех или белый дуб, а для всего, что превышает эту цифру, следует использовать березу или гикори. Если, что случается очень редко, (N∙D) превышает 240 000, использовать эту конструкцию небезопасно, и потребуется применить более толстые лопасти, что приведет к потере КПД.

Схема и чертеж

Схема базового пропеллера показана на рис. 4. Все размеры, необходимые для прорисовки пропеллера, указаны в долях диаметра винта, за исключением углов установки и сечений аэродинамического профиля лопастей. Чертеж исходного аэродинамического профиля показан на рис. 5.

Углы установки сечений лопастей устанавливаются, исходя из равного геометрического шага для каждого сечения (т.н. винт «постоянного шага»), поэтому для любого сечения
1696674999105.png

Где

α –угол установки сечения лопасти,

r - радиус сечения в пересчете на диаметр.

На рис. 6 представлена серия кривых, определяющих углы установки сечений лопастей в зависимости от отношения диаметра p/D для каждой из шести сечений базового пропеллера.

Следует заметить, что центры тяжести секций лежат на линии, которая определяется смещениями от радиальной осевой линии (рис. 4 и 7). Это делается с целью уменьшения напряжений в лопасти.

Необходимо соблюдать осторожность, чтобы не перепутать винт правого и винт левого вращения. Винт правого вращения вращается по часовой стрелке, если смотреть со стороны набегающего потока. Основной пропеллер на рис. 4 правого вращения, а на рис. 7 пример левого.
 
Практические шаги проектирования и вычерчивания винта

Исходные данные:

Мощность двигателя (HP), обороты двигателя в минуту (RPM), скорость полета в милях в час (V), размеры ступицы двигателя и направление вращения.

1. Коэффициент эффективности винта (рис. 1).

(а) Проводим прямую линию через HP и RPM до контрольной линии, и отмечаем точку, где она ее пересекает.

(б) Затем проводим прямую линию от этой точки до значения заданной скорости на шкале миль в час и продолжаем прямую до шкалы Коэффициента эффективности, получая его значение.
1696675394240.png

2. J и p/D (рис. 2).

(а) Точка со значением Коэффициента эффективности проецируется на кривую.

(b) на шкале слева считываем значение J.

(c) на самой кривой считываем значение p/D.
1696675424096.png

3. Диаметр в дюймах, получаем по формуле

1696676950277.png

4. КПД винта (рис. 3).

КПД винта определяется по значения J, определенного на рис. 2.
1696675449612.png

5. Размеры, необходимые для прорисовки нашего пропеллера, определяются путем умножения размеров, указанных на базовом пропеллере (рис. 4), на указанный выше диаметр (т.е. масштабированием).
1696675465982.png

6. Размеры отдельных сечений лопасти винта определяются путем умножения максимальной ширины сечения лопасти на координаты, показанные на рис. 5. Координаты профиля лопасти разделены на десять равных частей, причем часть, ближайшая к переднему краю, разделена на половинки и четверти.
1696675484277.png

Два сечения лопасти, ближайшие к ступице - двояковыпуклые. Они изображены так, как если бы представляли собой два отдельных плоско-выпуклых профиля, расположенные лицом к лицу, только на передней и задней кромках будут свои радиусы.

7. Углы установки для каждого сечения лопасти указаны для приведенных выше значений p/D на рис. 6.
1696675498578.png

8. Чертеж выполняется в натуральную величину или крупнее, сначала рисуются осевые линии и линии центров тяжести сечений, как показано на рис. 4. Сечения прорисовываются вокруг их соответствующих центров тяжести под правильными углами установки. Проецируем их вверх, чтобы получить вид сбоку и вид сверху с учетом углов установки. Размеры, обозначенные на рис. 4 "scale”(т.е. масштаб), измеряются на этих видах и проверяются на соответствие измерениям на сечениях.

Линии ламинирования (границы пластин после изготовления, из которых склеен пропеллер) рисуются так, как показано в примере (рис. 7). Толщина пластин может составлять от l/4" до 1", причем все слои в одном пропеллере имеют одинаковую толщину, за исключением внешних. Линии ламинирования должны быть плавными кривыми, показывающими, что пропеллер ровный и на нем не будет неровностей или волн. Это хорошая проверка размеров и чертежа.
1696675514197.png
 
Последнее редактирование:
Назад
Вверх