Follow along with the video below to see how to install our site as a web app on your home screen.
Примечание: This feature may not be available in some browsers.

Пилотаж пилотажу рознь. Для перевернутого полета, и перегрузок 0 - есть карбюраторы без поплавковой камеры.При проектировании пилотажного с-та я также опоясывал бак трубками дренажа, чтобы через дренаж не выливалось топливо. Здесь похоже пилотажный карб.
Если редуктор "С" или "Е", где установлена резиновая муфта ( демпфер ) и пропеллер пластиковый - не деревянный моноблок, то не встречалось повреждение к/вала при всевозможных обламываниях всех лопасатей...Тогда еще вопрос: при хорошем ударе винтом какова вероятность повреждения коленвала на 582-м моторе?
Это карбюратор похоже от горного снегохода типа ТМ 40, он рассчитан для езды в горах в том числе, с высотным корректором.При проектировании пилотажного с-та я также опоясывал бак трубками дренажа, чтобы через дренаж не выливалось топливо. Здесь похоже пилотажный карб.
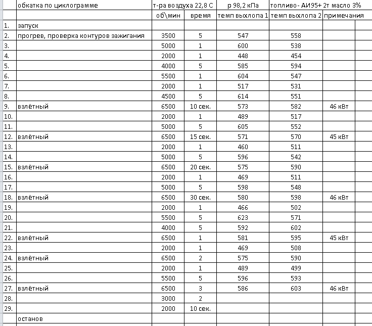
Посмотреть вложение 422427
Это карбюраторы от горного снегохода. Обычные, поплавковые, серии ТМ. Для пилотажа, верно сказали, смотрите безпоплавковые(мембранные), серии BN.Здесь похоже пилотажный карб
Большое спасибо, так и сделаем!Для большей уверенности , можно провести замер положения поршней в ВМТ относительно углов поворота к/вала. Для этого воспользуйтесь часовым индикатором со щупом, ввёрнутым в свечное отверстие. Допустимая разница по цилиндрам 0,1 мм ( по индикатору ).
Чтобы не затеваться с диском, размеченным в градусах и прикреплённым к маховику, предлагаю следующий оценочный метод... Симметричность углов поворота по цилиндрам можно отследить со стороны магнето, по положению риски на гидродемпфере ( нанести самостоятельно карандашём ), относительно разъёма половинок картера, при положении одного из поршней в ВМТ.
Если на маховике установлена шестерня электростартера, то по положению зубьев шестерни в окошке кожуха стартера. На шестерне 61 зуб. При повороте на 180 град будет видно вершинку в одном положении ВМТ и впадину - в другом. Относительно чего позиционировать зуб или впадину - определить по месту...
Если ассиметрии не заметно на глаз, то скорее всего скручивание отсутствует. Метод довольно примитивный, но рабочий.
Всем доброго дня! Подскажите пожалуйста, какой ёмкости аккумулятор лучше использовать с мотором, оптимально? Спасибо.