Свободно-поршневые генераторы газа и компрессоры.

Добрый вечер, други моя!

Это опять я со своими глупыми вопросами по малоразмерным ОРМ (объёмным расширительным машинам).  :~)

Есть следующие вопросы:

1. Как рассчитывать ОРМ для работы с газом? Как паровые машины или там существенные различия?

2. Регулировать крутьмомент длительностью подъёма клапанов требует дорогостоящих решений.
Что, если вместо этого использовать

а) ротативную поршневую ОРМ, где и момент впуска, и его длительность легко регулируется передвижением т.н. "досок"(так подобный орган применительно к СПГГ GS34 называется у Елистратова со товарищи) с окнами, например плоскую бесшатунную, наподобие насоса вот этого типа

или

б).  на длинноходной ОРМ клапаны и каналы подачи газа заведомо переразмеренные, а наполнение и крутьмомент регулировать увеличением и уменьшением мёртвого объёма в головках рабочих цилиндров?

3. Какова максимальная скорость ОРМ, при которой ещё достигаются приемлемые мощность и КПД? (Вопрос не праздный, так как, скажем, поршневые паромоторы современных проектов ограничиваются скоростью всего лишь 1500 оборотов в минуту.)

Приятного всем вечера!
 
Свободно-безпоршневой двигатель простейшей схемы
i-2130.jpg
 
http://www.kpi.kharkov.ua/archive/%D0%9D%D0%B0%D1%83%D0%BA%D0%BE%D0%B2%D0%B0_%D0%BF%D0%B5%D1%80%D1%96%D0%BE%D0%B4%D0%B8%D0%BA%D0%B0/Dvs/2010_2/tech27.pdf


В продолжение темы "Сухого уплотнения" 2010г. Некрасов вроде попробовал, результаты интересные
 
Ничего там нет, работа у Вадима Георгиевича, Некрасова так сказать не доделана.

И потом, зачем нужен узел сухой смазки в цилиндре, если вокруг "бушуют фонтаны брызг" от картерного масла подшипников шатуна, из под поршневого пальца. Графит тут же зарастёт маслом ... и вот вам притирочная плита на зеркале цилиндра. А так как графит масло от камеры сгорания не отсекает (оно пройдет через торцевые зазоры в любом случае, если нет маслосъемного кольца), то жди все масло в камере сгорания от "лубрикаторного эффекта".

Я ему сказал в свое время об этом... он обиделся.
 
И потом, зачем нужен узел сухой смазки в цилиндре, если вокруг "бушуют фонтаны брызг" от картерного масла подшипников шатуна, из под поршневого пальца. 
С этим согласен.


Работа не доделана но хоть что-то есть. На эту тему вообще не так много материала.
Разве что компрессоры устойчиво работают на фторсодержащих композитах типа флувиса. Но скорости малы.
Может у Вас что-то новое по сухому уплотнению есть?
На Вашем сайте интересна тема по сухому уплотнению. Закрыт пока или совсем?

В разрезе применения на СПД, который меня интересует, эта работа мне интересна. Зачем там вообще масло? и картера нет. И боковых инерционных сил.
Согласны?

АГ-1500, АГ-1500 СО5 то же интересны в этом смысле.
 
Я считаю, что сухая смазка актуальна в РПД, да, там боковые грани однозначно надо делать графитосодержащими, тогда и масло не нужно вводить внутрь ротора. Ведь пример успешности рядом, поршневое кольцо в ДВС отлично справляется с 70% теплового потока поршня, а здесь плоскости не задействованы, площадь которых в десятки раз выше чем площади поршневых колец - это одна из самых больших глупостей людей, которые создавали РПД, они принципиально ничему не хотели учиться от поршневиков.

Сайт закрыл, может и навсегда. Пора его было уже обновлять, накопилось много свежей инфы, пришлось бы делиться уже конкретными наработками, на которые потрачено немерено.  А сейчас рынок стал столь зубастый, что за любой информацией охотятся, даже не прикрываясь, ну я и подумал, зачем все это, и кому достанется, во всяком случае не нам с Вами. Россия превратилась в отстой... одни офисы, планктон, ничего, даже Китайцы нас имеют во все дыры, на такой волне уже ничего не хочется.
 
Я считаю, что сухая смазка актуальна в РПД, да, там боковые грани однозначно надо делать графитосодержащими, тогда и масло не нужно вводить внутрь ротора. Ведь пример успешности рядом, поршневое кольцо в ДВС отлично справляется с 70% теплового потока поршня, а здесь плоскости не задействованы, площадь которых в десятки раз выше чем площади поршневых колец - это одна из самых больших глупостей людей, которые создавали РПД, они принципиально ничему не хотели учиться от поршневиков.

С этим согласен, но мое мнение, касательно РПД не сильно дорого стоит, всерьез не интересовался, разве как вариант расширительной машины после СПГГ.

У вас есть свои результаты по графиту? в РПД?

... одни офисы, планктон, ничего,
Да...но пожалуй на фоне своих проблем не до этого.
 
Да, "прессованный" термографит отличная пара для отвода тепла с ротора.
 
Термографит очень активно используется в качестве подвижного уплотнения в нефтехимической промышленности при повышенных температурах, например в задвижках для хим. сред и при перепаде давления до 250 бар.
 
Термографит очень активно используется в качестве подвижного уплотнения в нефтехимической промышленности при повышенных температурах, например в задвижках для хим. сред и при перепаде давления до 250 бар.

Да, много попадалось материала по всяким уплотнениям такого типа, с конкретными марками и свойствами в основном упоминается  силицированный графит

Конкретное подробное описание для работы на сухую есть только для АГ 1500 и что-то по электрощеткам

По фторкомпозитам: Флубон, флувис много конкретики

по термографиту не попадалось
 

Вложения

  • AG1500.GIF
    AG1500.GIF
    37,2 КБ · Просмотры: 263
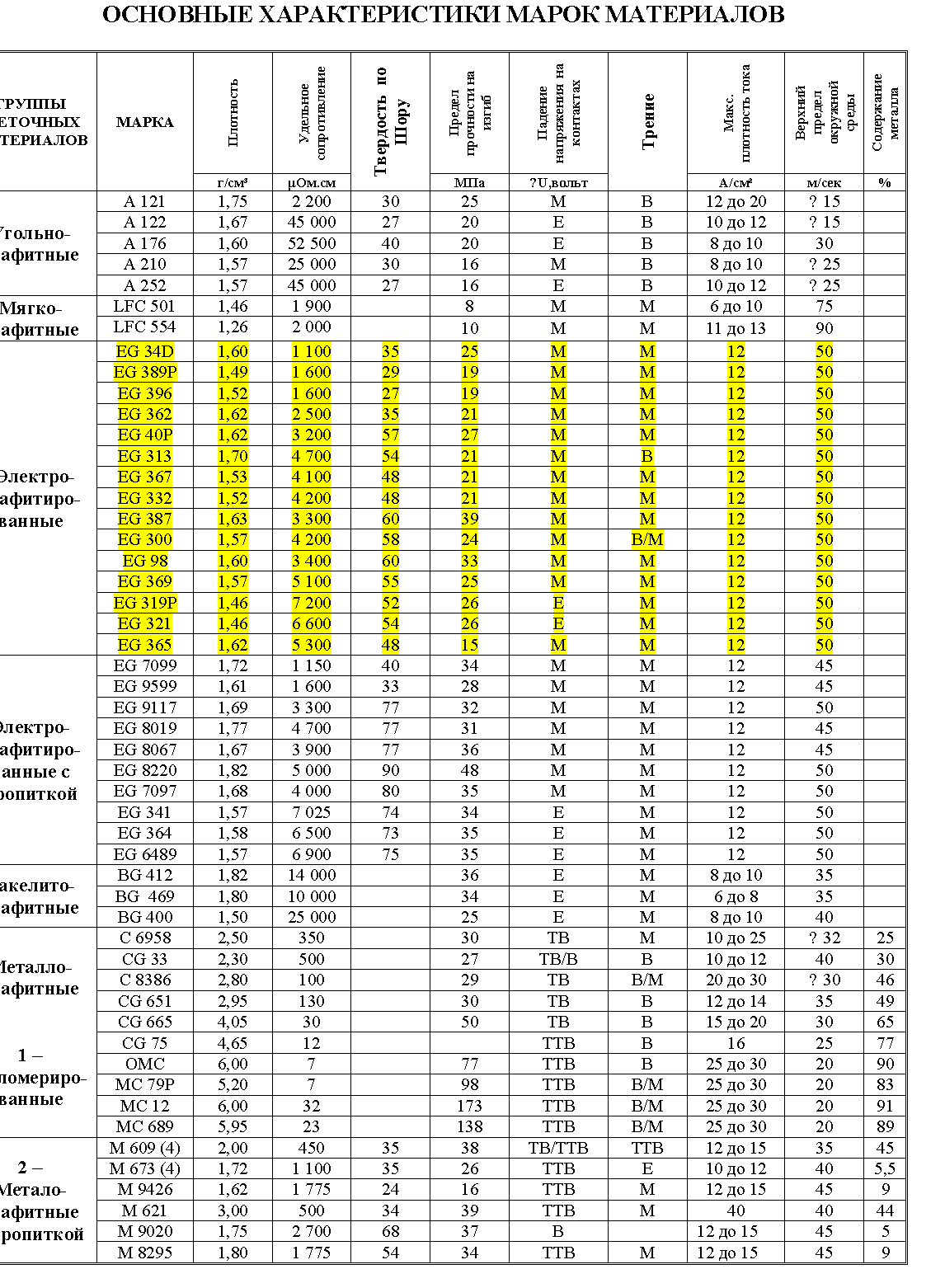
Щетки для примера, скорости хорошие
 

Вложения

  • Grafit.GIF
    Grafit.GIF
    76 КБ · Просмотры: 305
Поищу, у меня где-то проспект от нефтянников с готовыми уплотнительными модулями из термографита  лежит.
 
Поищу, у меня где-то проспект от нефтянников с готовыми уплотнительными модулями из термографиталежит. 

Если не затруднит, было бы интересно глянуть.

Думаю, фторкомпозиты, при впрыске небольшого количества дистиллированной воды для смазки тоже могут работать на больших скоростях, чем упоминаемые всюду 5м/с на сухую в компрессорах.
 
Назад
Вверх