• Вышел новый выпуск программы ФлайтТВ, посвященный современным российским ЮПШ (юношеским планерным школам).
    Видео на Youtube. Ссылки на другие платформы и обсуждение в теме на форуме.

Дископлан

Thread moderators: Spectrum
Гораздо проще и дешевле увеличить ангар в два раза, то есть сделать его квадратным, пристроив точно такой же прямоугольник. В этом случае до 6-ти метров.
Значит расширили гараж.
Потом построили дисколет диаметром 6 метров.
А что дальше?
Если гараж при взлетной полосе, то можно без разборки взлететь.
Но этот гараж явно не возле ВПП.
Тогда если гараж не вблизи взлетной полосы, то этот шестиметровый диаметр надо как то переместить из гаража к ВПП.
Следовательно надо располовинить хотя бы на две части или поделить диаметр на три части, но оставить их скрепленными на петлях.
Если везти по дороге, то две половинки. можно торчком везти.
Но если придется разбирать, то зачем расширять гараж?
 
Ну, для начала - это не диск уже.
Дисковое же крыло позволяет иметь максимальную площадь (и объём при желании) при минимальных размерах. На режиме парашютирования, позволяет приземляться "в точку". И само парашютирование даёт ту самую пассивную безопасность. Соответственно: объёмные грузоперевозки, спасательные и противопожарные операции, дроны и пр...
Диск:
Летает явно пошустрее здешних вариаций на тему "Арго-02" с удлинением 6, а мотор-то похоже Ротакс-503 или даже 447 , Мощности которых обычно недостаточно местным аргостроителям. 😉
 
Летает явно пошустрее здешних вариаций на тему "Арго-02" с удлинением 6, а мотор-то похоже Ротакс-503 или даже 447 , Мощности которых обычно недостаточно местным аргостроителям. 😉
ROWE UFO · The Encyclopedia of Aircraft David C. Eyre - вот тут побольше информации. Был построен не один самолет, а 5. Серый как раз последний вариант. А 3-ий вариант эксплуатировался 13 лет и совершал перелеты на расстояние около 400 км. В общем кому летать, а кому формулы считать.

Перевод текста из переводчика:

Серия легких самолетов НЛО была разработана инженером Дэвидом Роу из Сконе, Новый Южный Уэльс. Самолет начался с наброска, который он сделал для самолета круглой формы. Затем он построил модель, которая оказалась удовлетворительной, и построил полноразмерный самолет, известный как Rowe Wild Thing, оснащенный двигателем Cuyuna 430R мощностью 21 кВт (28 л.с.), который был зарегистрирован 10-1462 2 июля 1995 года. Самолет был признан несколько слабым и вскоре был отправлен в отставку.

Он был разработан для Rowe UFO, оснащенного двигателем Rotax 503. Этот самолет был доработан до UFO-2 (10-3213) и развивал крейсерскую скорость 117 км/ч (72 мили в час) и был оснащен топливным баком на 10 литров (2,19 имп. галлона), но позже он был заменен на 40-литровый. литровый (8,8 имп гал) бак. В конце 2001 года начались работы по проектированию и созданию убирающегося шасси для НЛО-2. Вход в кабину был снизу самолета. Однако у этого самолета оказалось тяжелое хвостовое оперение, но он летал достаточно хорошо, эксплуатировался два года, а затем был утилизирован.

Позже г-н Роу разработал свой третий проект, НЛО-3, работа над которым началась в мае 2000 года. Он был немного меньше второго проекта. Был использован тот же размах крыла, но кабина и двигатель были смещены вперед, а аэродинамическое крыло стало более тонким. Центр тяжести был смещен вперед для решения проблем с № 2 и эксплуатировался в течение 13 лет, включая рейсы из Ви-Ваа в Нарромайн, Новый Южный Уэльс. Другие изменения включали запуск двигателя в кабине, увеличение топливных баков и два небольших грузовых отсека.

В то время как предыдущие модели были в целом серебристыми, третий самолет был красного цвета Wild Fire. № 3 (10-3518), также зарегистрированный в соответствии с правилами AUF / RAA, впервые был показан публике в Федерации сверхлегких самолетов Natfly в Нарромайне в апреле 2001 года, долетев из Сконе за 2,5 часа. Крейсерская скорость этой модели составляла 130 км/ч (80 миль/ч). Этот самолет три года подряд выигрывал награду Natfly в номинации «Самый инновационный дизайн». Серия НЛО представляла собой деревянную конструкцию с тканевой обшивкой. Самолет неоднократно отмечался в районе Сконе, Новый Южный Уэльс, на различных авиационных мероприятиях.

После этого работа перешла к № 4, и это был пример с одним сиденьем. Однако он никогда не летал. Когда конструктор и его жена попытались забраться в самолет через люк под фюзеляжем, оказалось, что это слишком сложно делать регулярно, и самолет быстро списали.

Затем начались работы над самолетом № 5 (10-8675), и примерно в это же время г-н Роу переехал в Тьябб в Виктории. Как и самолеты №№ 1 и 2, это был одноместный самолет с хвостовым колесом. Ходовая часть убиралась вручную и развивала крейсерскую скорость от 158 км/ч (98 миль/ч) до 167 км/ч (104 миль/ч). Если у самолета № 3 был топливный бак на 60 литров (13 имп. галлонов), то у № 5 бак на 20 литров (4,4 имп. галлона). В 2015 году были внесены изменения в № 5, переработан руль направления и установлен киль от № 3. Зарегистрированный в Recreation Aviation Australia (RAA) под номером 10-8675, он был отмечен на авиашоу в Тьяббе, Виктория, 16 марта 2016 года в общей серой цветовой гамме.
 
Тогда если гараж не вблизи взлетной полосы, то этот шестиметровый диаметр надо как то переместить из гаража к ВПП.
Следовательно надо располовинить хотя бы на две части или поделить диаметр на три части, но оставить их скрепленными на петлях.
Если везти по дороге, то две половинки. можно торчком везти.
Но если придется разбирать, то зачем расширять гараж?
Что, за мания разбирать самолёт? Повесить на балконе, делов то! 🤣
 
Думаю если кто то уже строит самолёт, а не строит планы, то не стоит спорить полетит/не полетит. А просто подождать. Результатов строительства
 
Думаю если кто то уже строит самолёт, а не строит планы, то не стоит спорить полетит/не полетит. А просто подождать. Результатов строительства
Некоторые строят вещи, которые изначально не планируется как-либо использовать на что они похожи (скульптуры) и ничего, строят же, пользуются спросом. На данном ресурсе я замечал скулпторов. А полетит-не полетит- как полетит, это очень сильно зависит не только от человека, есть огромное множество причин. У некоторых даже мотоциклы не едут, не то что самолеты не летают.
Можно перефразировать: кто-то и бумажную модельку в воздух поднять не смог и сделал на этом основании мильон выводов.

ЗЫ Я не умею ловить рыбу, хотя и пытался, хуже всех кого я знаю и, у меня никогда не летали воздушные змеи, вообще никогда, ни разу удачно. Как пример.
Но я настырный и возможно добьюсь чего в этих планах, если захочу и проявлю твердость.
 
Внимательно перечитал Ваш Вывод формулы индуктивного сопротивления.

Возьмём формулу индуктивного сопротивления (ИС)
Screenshot 2023-01-13 at 00-19-57 Лобовое сопротивление — Википедия.png
Screenshot 2023-01-13 at 00-19-57 Лобовое сопротивление — Википедия.png
(1)

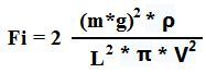
Учитывая, что S = L^2 ∙ λ и λ ∙ S = L^2 , где L - размах крыла - формулу (1) можно переписать как

Fi = 2 Y^2 /π /L^2 /ρ /v^2
или
Fi = 2 (Y/L)^2 /π /ρ /v^2

Учитывая, что в горизонтальном полёте подъёмная сила Y= mg,

Fi = 2 (mg/L)^2 /π /ρ /v^2

То есть индуктивное сопротивление пропорционально квадрату нагрузки на размах. Независимо от удлинения, площади и т.д.

Что то не понятен Ваш вывод формулы индуктивного сопротивления.
Что то пошло не так в Ваших преобразованиях.
Скорее всего Вы написали не формулу, а руководство нажатия клавиш на калькуляторе.
Это две большие разницы.
Если переписать по человечески вот этот Ваш пассаж, то получится так

Формула.jpg


Хотя умные дядьки, что пишут всякие там учебники утверждают вот это про индуктивное сопротивление.

"Благодаря скосу потока истинный угол атаки aист крыла будет отличаться от геометрического угла атаки a на величину Da (Рис. 3.19):
image243.gif


image245.gif
.


Поворот набегающего потока вызывает поворот назад на угол
image247.gif
вектора истинной подъемной силы. Согласно теореме Н.Е. Жуковского, она должна быть перпендикулярна к истинной скорости потока.


Подъемной силой будет не вся сила Y' а ее составляющая Y, направленная перпендикулярно набегающему потоку:

Вторая составляющая истинной подъемной силы равна:
image249.gif
Она действует в направлении невозмущенного потока в сторону, противоположную движению, и является силой индуктивного сопротивления
image251.gif
.


Следовательно, индуктивное сопротивление – это проекция истинной подъемной силы на направление движения крыла."
 
Можно сделать 2 небольших крыла и разместить их друг над другом, как у бипланов
Такой фокус хотели применить на соосных винтах, искренне надеясь на удвоение подъемной силы соосной системы.
А почему бы и нет, думали они, каждый несущий винт обладает определенной тягой, значит если их два, то и тяга будет равна сумме их тяг, то есть удвоится.
 
- ро должно быть в знаменателе. Но здесь не место обсуждать формулы и то, как они получены. Тем более, что уже обсуждалось. Это Ваша проблема, что Ваше понимание ПС и ИС не бьётся с теорией и опытом. Сами разбирайтесь в своих проблемах, я не препод, а здесь не репетиторская.
 
- ро должно быть в знаменателе. Но здесь не место обсуждать формулы и то, как они получены. Тем более, что уже обсуждалось. Это Ваша проблема, что Ваше понимание ПС и ИС не бьётся с теорией и опытом. Сами разбирайтесь в своих проблемах, я не препод, а здесь не репетиторская.
Я же написал, что Ваше интерпретация силы сопротивления не есть формула, а руководство по нажиманию кнопочек на калькуляторе.
Посмотрите внимательно на свою писанину.
То, что стоит дважды в знаменателе автоматически переносится в числитель.
Это относится к плотности воздуха.
А потом скорость в квадрате еще раз делится, то есть перескакивает черту дроби и оказывается в знаменателе.
Это если вычислять по математическим правилам.
А у вас записана последовательность нажатия клавиш на калькуляторе - Fi = 2 (mg/L)^2 /π /ρ /v^2
Поясняю для двоечников.
Взяли вначале двойку и умножили на содержание скобки возведенное в квадрат.
Потом нажали на кнопочку калькулятора "деление" и затем нажали на (ПИ).
Далее опять нажали на кнопочку "деление" и затем ввели значение плотности воздуха.
И в конце опять нажали на кнопочку "деление" и вставили значение скорости в квадрате.
Вот о чем я писал.
И если Вы не можете записать формулу с горизонтальной дробной чертой, как это сделал я, то надо было написать эту формулу вот так
Fi = 2 (mg/L)^2 /(π *ρ *v^2)
Разницу почувствовали?

Или опять посажелеете?
 
И так, работа продолжается.
Что было сделано. Собрал металлическое крыло - по весу норм (без кучи подкосов), но по жесткости никак не победил. Можно было все скрутить тросами - проблем нет, но на тросах конструкция так себе. Крутил вертел это крыло, сделал кучу подкосов (аж 2 подкоса на луч), но по итогу лучше не стало (металл есть металл). А по весу тем более. Пока думал как выйти из положения, знакомый предложил несколько идей как сделать полностью разборное крыло вместе с обшивкой. Поэтому сейчас собираю крыло профильное, из фанеры ). Крыло будет без элевонов. Точнее они будут, но отдельным элементом, поэтому и профиль такой получился. Сейчас доделываю половину крыла (это очень промежутоный этап). Далее все покрою стеклом, ошкурю, покрашу, местами облегчу и начну заниматься второй половиной. С ней работа пойдет уже гораздо быстрее.
photo_2023-08-20_16-40-56.jpg
photo_2023-08-20_16-40-42.jpg
 
А что вообще дископланность даёт?
Наверное надо спрашивать: "Что дает диск по сравнению с другими крыльями малого удлинения? (Квадрат, треугольник, трапеция...)

Ну... чисто теоретиЦки какие-то преимущества все же есть. (Хотя на практике они могут съедаться его недостатками.)
Так с уменьшением удлинения наблюдается нелинейная зависимость изменения Су max.
Пишут что при уменьшении удлинения до λ=1,74 Су max уменьшается. (При одновременном увеличении угла атаки).
При дальнейшем уменьшении λ до 1,27 Су max увеличивается. После чего опять уменьшается.
То есть на удлинении 1,27 есть максимум. А это и есть круг.
Получается наивыгоднейшее удлинение в отношении Су max имеет крыло в форме круга.

Но другие фигуры типа прямоугольник, треугольник или трапеция и т.д. тоже могут иметь удлинение 1,27. По этому поводу так же пишут что наилуший результат дает форма с полукруглыми законцовками крыла что снова приводит к кругу.

Говорят что это преимущество может быть использовано скорее для самолетов имеющих большие скорости. Там где индуктивное сопротивление слишком быстро растет и крылья и так имеют малое удлинение. Но вот если посмотреть на практике то видно что скоростных самолетов с крылом малого удлинения много, а имеющих форму круга как-то не видно. (
 
Комбинированная схема с дискообразной формой все больше встречается в новых и перспективных моделях военных самолетов, прям по стопам Фаруха Мухамедова.
 
Ну... чисто теоретиЦки какие-то преимущества все же есть.
1. Большой диапазон углов атаки, т.е. безопасность полётов.
2. Меньшая чувствительность к вертикальным порывам, т.е. бОльшая допустимая скорость в неспокойном воздухе.
3. Уменьшение габаритов самолёта.
4. Уменьшение массы конструкции, особенно при использовании схемы "безхвостка" и "ЛК".
5. Возможность создания СКВП без сложной механизации крыла и с малыми габаритами.
 
1. Большой диапазон углов атаки, т.е. безопасность полётов.
2. Меньшая чувствительность к вертикальным порывам, т.е. бОльшая допустимая скорость в неспокойном воздухе.
3. Уменьшение габаритов самолёта.
4. Уменьшение массы конструкции, особенно при использовании схемы "безхвостка" и "ЛК".
5. Возможность создания СКВП без сложной механизации крыла и с малыми габаритами.
Ну, эти качества касаются все же всех крыльев с малым удлинением. А речь о преимуществах именно круга, а не треугольников, прямоугольников, трапеций, парабол, гипербол, колоколов и прочих каблуков. Речь именно о круге. Тема то называется "Дископлан", а не "Летательные аппараты с крылом малого удлинения".
 
Тут еще писали, что круг имеет минимальный периметр по отношению к масимальной площади. В принципе это может привести и к минимальной массе аппарата по отношению к площади крыла. Что при определенных услових также может быть преимуществом.

Еще диск может быть проще других крыльев если, к примеру, делать его по принципу велосипедного колеса: ось и обод жесткие с натянутыми спицами между ними. Даже если не спицы а просто все одинаковые нервюры ставить по радиусу диска. Но ведь при этом профиль крыла чтобы изменять надо принимать дополнительные меры. А если просто в диске ставить нервюры по направлению движения то тогда прямоугольное крыло проще диска. Так что это сомнительное преимущество.
 
Комбинированная схема с дискообразной формой все больше встречается в новых и перспективных моделях военных самолетов, прям по стопам Фаруха Мухамедова.
К своему стыду я таких "новых и перспективных самолетов" что-то не припомню. Может выложите здесь хоть пару фото? Если не долго искать конечно.
 
Тут еще писали, что круг имеет минимальный периметр по отношению к масимальной площади. В принципе это может привести и к минимальной массе аппарата по отношению к площади крыла. Что при определенных услових также может быть преимуществом.

Еще диск может быть проще других крыльев если, к примеру, делать его по принципу велосипедного колеса: ось и обод жесткие с натянутыми спицами между ними. Даже если не спицы а просто все одинаковые нервюры ставить по радиусу диска. Но ведь при этом профиль крыла чтобы изменять надо принимать дополнительные меры. А если просто в диске ставить нервюры по направлению движения то тогда прямоугольное крыло проще диска. Так что это сомнительное преимущество.
Вот, что можно сказать наверняка - у круглого в плане, крыла, распределение циркуляции по размаху будет эллиптическим, т.е. идеальным, и местные углы атаки одинаковыми во всем диапазоне докритичнских углов.
Силовая схема велосипедного колеса также может дать определенные преимущества, даже в отсутствие спиц: в 80- х годах на фирме Сухого сделали дисковые велосипедные колеса " Суцикл", использованные сборной командой. Схема была предельно проста: к ободу с двух сторон приклеивали по плоскому диску из секторов углеткани, так, чтобы волокна на всем периметру были под углом к радиусу: затем натягивали паспортную втулку в центре и плоские диски превращались в конические, равномерно натягиваясь, тогда, как обод равномерно сжимался . С профилями,на самом деле, все не так плохо - они, по всему размаху, образованы гипербола и ( одно из трёх возможных конических сечений) с носком и хвостиком, соответствующим профилю обода.
Так, что весь вопрос в соединении всех преимуществ воедино, в проекте, наиболее полно их раскрывающем.
Успехов, друзья.
 
И так, работа продолжается.
Что было сделано. Собрал металлическое крыло - по весу норм (без кучи подкосов), но по жесткости никак не победил. Можно было все скрутить тросами - проблем нет, но на тросах конструкция так себе. Крутил вертел это крыло, сделал кучу подкосов (аж 2 подкоса на луч), но по итогу лучше не стало (металл есть металл). А по весу тем более. Пока думал как выйти из положения, знакомый предложил несколько идей как сделать полностью разборное крыло вместе с обшивкой. Поэтому сейчас собираю крыло профильное, из фанеры ). Крыло будет без элевонов. Точнее они будут, но отдельным элементом, поэтому и профиль такой получился. Сейчас доделываю половину крыла (это очень промежутоный этап). Далее все покрою стеклом, ошкурю, покрашу, местами облегчу и начну заниматься второй половиной. С ней работа пойдет уже гораздо быстрее.Посмотреть вложение 536551Посмотреть вложение 536552
У вас не зашита центральная часть. Поэтому и нет жесткости. Сама по себе лучевая конструкция должна быть жесткая.
 
Назад
Вверх