Широкодиапазонное крыло как новый подход к качественному улучшению безопасности полетов СЛА.

Любой самолет может парашютировать, если педалями держать.
Леш бывают и такие ,что не удержишь . Всё зависит от расположения Ц.Т. к Ц. Д.
Ребят и зачем уменьшать то, на чём собственно и держится сам принцип полета.
 
Зачем "изобретать велосипед", если все известно и так - хотите многорежимное крыло - увеличивайте степень механизации. Типа предкрылков, щелевых развитых закрылков. Разного рода "танцы" с отверстиями, изменяемой стреловидностью/выдвижными элементами и проч. Полезно видимо и создание "сверхустойчивого" самолета с соответствующей V-образностью крыла. Потом автоматизация всего этого таким образом, чтобы при увеличении угла атаки - конфигурация крыла менялась бы сама (приводом по датчику или же как-то иначе). У того же Ан-2 предкрылки насколько мне известно сами потоком воздуха "отчекрыживаются" в нужное время/режим полета и не содержат управляемого привода.
 
И зачем обычному самолету 35 угла атаки?
Ну как это "зачем"?
Затем, что эта способность нового крыла даёт нехилый такой запас/шанс пилоту для исправления допущеной им ошибки пилотирования.
 
Ну как это "зачем"?
Затем, что эта способность нового крыла даёт нехилый такой запас/шанс пилоту для исправления допущеной им ошибки пилотирования.
Перестаньте.
Если "пилот" в обычном полете смог загнать самолет на 35 градусов - никакая сила не помешает ему достичь и50-и градусов. Что, и для таких углов надо обеспечить бессрывность... уважаемый?
 
Перестаньте.
Если "пилот" в обычном полете смог загнать самолет на 35 градусов - никакая сила не помешает ему достичь и50-и градусов. Что, и для таких углов надо обеспечить бессрывность... уважаемый?

Если "пилот" смог загнать в "обычном полете" самолет на 35 градусов, ему будет не очень привычно, (банально неудобно) продолжать полет в таком режиме. Просто хотя бы потому, что в ГП из за поднятого капота ничего не видно).
И получается, что самолет ЕЩЕ ЛЕТИТ, а пилот УЖЕ ТАК ЛЕТЕТЬ НЕ ХОЧЕТ.

Кроме того, возможность полета на больших углах атаки и малых скоростях, это огромный плюс к возможности выполнения вынужденной посадки на подобранную с воздуха площадку, зачастую совершенно неприспособленную к посадке (густая растительность, лес ). Дельтапланеристы свободники меня поймут, посадка на запредельных (45 и более градусов) углах атаки в момент приземления, у них в порядке вещей.
Неплохо также иметь запас по углу атаки при выполнении форсированного разворота при отказе двигателя до первого разворота, с целью выполнения посадки обратным курсом.
Может быть множество ситуаций , где запас по углу атаки пригодится.
 
Зачем "изобретать велосипед", если все известно и так - хотите многорежимное крыло - увеличивайте степень механизации. Типа предкрылков, щелевых развитых закрылков. Разного рода "танцы" с отверстиями, изменяемой стреловидностью/выдвижными элементами и проч. Полезно видимо и создание "сверхустойчивого" самолета с соответствующей V-образностью крыла. Потом автоматизация всего этого таким образом, чтобы при увеличении угла атаки - конфигурация крыла менялась бы сама (приводом по датчику или же как-то иначе). У того же Ан-2 предкрылки насколько мне известно сами потоком воздуха "отчекрыживаются" в нужное время/режим полета и не содержат управляемого привода.
Все правильно, все вышеперечисленное несомненно работает, но мы это делаем дешево и эффективно.
Много диапазона по углам и скоростям за мало денег!
 
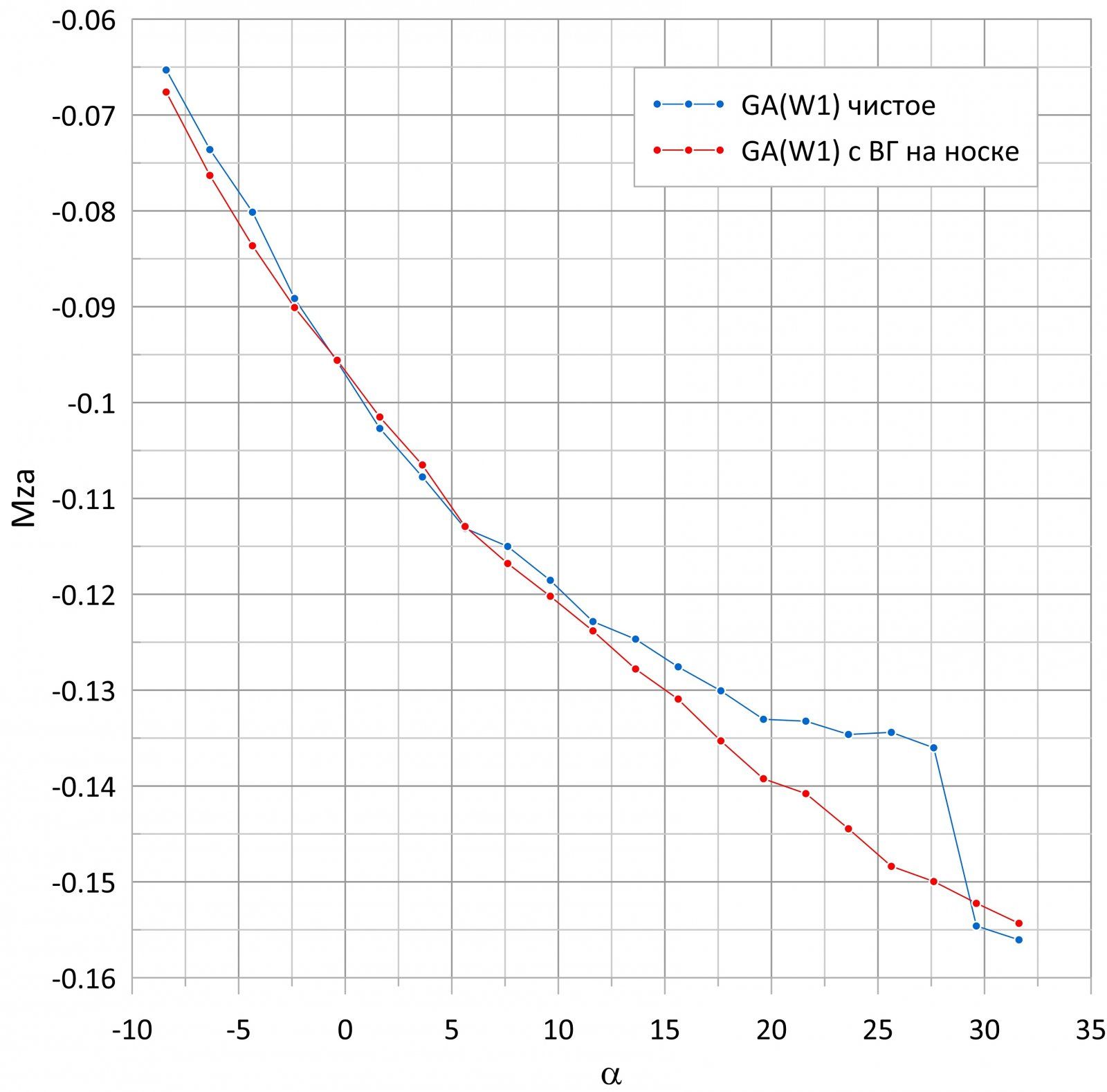
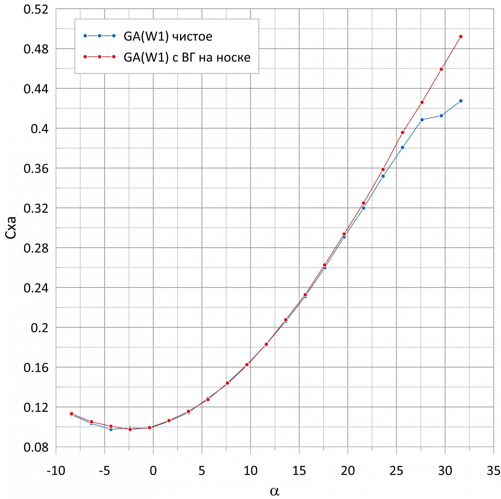
И про GA(W)ы:
Мы сделали два отсека GA(W)-1 и два отсека GA(W)-2. Один отсек каждого профиля оснастили ВПК, другой был чистым, (контрольный).
Сначала GA(W)-1.

GA(W)-1 80.jpg
 
Прошу учесть, что результаты в первой итерации, мы еще пока не занимались оптимизацией параметров ВПК.
 
Может плоховато помню предыдущие графики но на этих положительный эффект заметнее
 
Все правильно, все вышеперечисленное несомненно работает, но мы это делаем дешево и эффективно.
Много диапазона по углам и скоростям за мало денег!
Так все остальное как мне кажется "мертвому припарки" и существенно не улучшит аэродинамику крыла. Всякие там турбулизаторы могут вредить штатному обтеканию. А еще видимо много что может решить тяговооруженность- даже если сорвал крыло, закрутился - то быстро выправил обратно.
 
Так все остальное как мне кажется "мертвому припарки" и существенно не улучшит аэродинамику крыла. Всякие там турбулизаторы могут вредить штатному обтеканию. А еще видимо много что может решить тяговооруженность- даже если сорвал крыло, закрутился - то быстро выправил обратно.
Люди давно ими пользуются.

PiperWortex.png
 
И про GA(W)ы:
Мы сделали два отсека GA(W)-1 и два отсека GA(W)-2. Один отсек каждого профиля оснастили ВПК, другой был чистым, (контрольный).
Сначала GA(W)-1.
По правилам хорошего тона желательно указывать и числа Рейнольдса при экспериментах.
 
По правилам хорошего тона желательно указывать и числа Рейнольдса при экспериментах.
По правилам хорошего тона, я просто обязан сказать, как же мне приятно иметь дело с умными людьми!)))
Условия были те же, что и в предыдущих экспериментах, та же труба, такие же отсеки (хорда 400, размах 600мм), скорость потока 48 м/с. Все точно так же как я и описывал выше.
 
Так все остальное как мне кажется "мертвому припарки" и существенно не улучшит аэродинамику крыла. Всякие там турбулизаторы могут вредить штатному обтеканию. А еще видимо много что может решить тяговооруженность- даже если сорвал крыло, закрутился - то быстро выправил обратно.
Ключевое слово "кажется"!) Естественно, я согласен, что образование вихрей требует определенных затрат энергии, а так как в нашем мире ничего не бывает просто так, это естественно приводит к увеличению лобового сопротивления. Несомненно!)

Но! Структурированный вихревой пеленой пограничный слой становится более устойчив к образованию более мощных и крупных вихрей, которые вызывают еще большие потери энергии. Можно сказать, что пожертвовав малым, согласившись на некоторые потери, можно избежать гораздо больших потерь, и в итоге остаться в выигрыше.
Как то так, мне "кажется"!)
 
Назад
Вверх