• Вышел новый выпуск программы ФлайтТВ, посвященный современным российским ЮПШ (юношеским планерным школам).
    Видео на Youtube. Ссылки на другие платформы и обсуждение в теме на форуме.

Вопросы теории вертолетов, спорим, рассуждаем, объясняем...

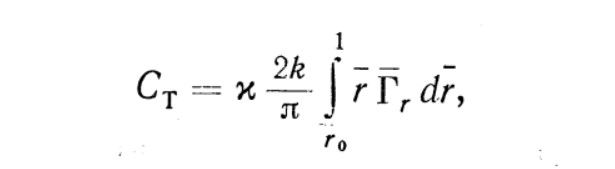
Насколько понял знак интеграла это в смысле суммы значений Ст каждого элемента , правильно понял ?

ct.jpg
 
Нет. Под интегралом циркуляция по радиусу лопасти. См. далее формулы 1.8, 1.9 и раздел 1.2 - Упрощеное определение аэродинамических характеристик...
 
Нет. Под интегралом циркуляция по радиусу лопасти. См. далее формулы 1.8, 1.9 и раздел 1.2 - Упрощенное определение аэродинамических характеристик...
скажу честно , не все понял ) на формулу 1.6 идет ссылка на странице 16 второй абзац. Я правда так не совсем понял ,формула 1.6 определяет Ст по элементно или всей лопасти .(хотя пока писал то уже понял что дает по винту , потому как там есть учет потерь на концевые потери (перед интегралом) И я соотвественно думал что предел интегрирования от нуля радиуса до 1 . Формула 1.8 находит через Гсередний что явно даст Ст по винту , то есть формула 1.8 и формула 1.21 даст тот же результат что и 1.6 .
 
то есть формула 1.8 и формула 1.21 даст тот же результат что и 1.6
Да.
Если нужно считать подъемную силу и мощность для плоской лопасти с углом установки 3 град., то наверное проще пойти обратный путем. Задать ряд значений тяги (взлетный вес) , получить Ст по 1.21, и mк по 1.34, и по формуле 1.38 получить установочный угол лопасти (общий шаг) на 0,7R. Когда он будет близко к 3 град - смотрим тягу и потребную мощность. Т.е. все как по алгоритму расчета в методичке МАИ, а в конце по формуле 1,38 - общий шаг на 0,7R.
 
Понял , я пошел путем Вильдгрубе потому что хочу просчитать для плоской лопасти без закрутки . Потому как не особо представляю как делать лопасть с закруткой , у Евгения вон нормально летает вертолет с простой лопастью . В методичке дана лопасть с закруткой . Я как раз дошел до определения Ст и Моментов и вперся в интегралы, формула 1.6 , 1.11,1.12 (маткад их может посчитать но я не совсем понимаю с какой стороны подходить чтобы расчет был правильный математика старших классов школы у меня не оч ) Как я буду считать взмахи пока не представляю))
 
Если нужно считать подъемную силу и мощность для плоской лопасти с углом установки 3 град., то наверное проще пойти обратный путем.
А если угол установки не равен 3 градуса?
А если лопасть не плоская?
А если лопасть не с постоянной относительной толщиной по длине лопасти?
А если лопасть имеет определенную зависимость крутки?
А если профиль лопасти отличается от одного единственного варианта?
Что тогда делать?

И почему для расчета подъемной силы лопасти достаточно всего три формулы: "1.21", "1.34" и "138" ?
 
но я не совсем понимаю с какой стороны подходить чтобы расчет был правильный
Чтобы правильно посчитать надо учесть все параметры которые влияют на конечный результат.
Вот граф расчета расчета параметров несущего винта.
Каждая стрелочка это отдельная формула только для одного элементарного участка лопасти.
В том графе расчет ведется для десяти элементарных участков лопасти от корня лопасти (не от оси вращения)
и до конца лопасти.
Другими словами расчет повторяется 10 раз.


Вот граф расчета параметров несущего винта.
Граф алгоритма расчета.jpg
 
А если ..... ...... ....
Что тогда делать?
Тогда уже интегрировать все параметры по радиусу лопасти, как у Юрьева, Вильдгрубе и др.

@Jožin
А плоскую проще всего, там все коэффициенты известны и даны у Вильдгрубе. См. рис. 1.13 и 1.14
Для наших целей думаю достаточно приближенного рассчета по Вильдгрубе, пока все сходилось на практике. В маткаде я не силен...
 
Последнее редактирование:
Чтобы правильно посчитать надо учесть все параметры которые влияют на конечный результат.
Вот граф расчета расчета параметров несущего винта.
Каждая стрелочка это отдельная формула только для одного элементарного участка лопасти.
В том графе расчет ведется для десяти элементарных участков лопасти от корня лопасти (не от оси вращения)
и до конца лопасти.
Другими словами расчет повторяется 10 раз.


Вот граф расчета параметров несущего винта.Посмотреть вложение 478683
я писал в конкретном случае о интеграле . и да , я знаю что вы напишите )
 
Последнее редактирование:
Тогда уже интегрировать все параметры по радиусу лопасти, как у Юрьева, Вильдгрубе и др.

@Jožin
А плоскую проще всего, там все коэффициенты известны и даны у Вильдгрубе. См. рис. 1.13 и 1.14
Для наших целей думаю достаточно приближенного рассчета по Вильдгрубе, пока все сходилось на практике. В маткаде я не силен...
Кстати вот то что я насчитал , ипоследний скрин это как считал в маткаде Ст , в чем абсолютно не уверен и проверит возможности нету .

IMG_20210716_194923.jpg


IMG_20210716_194938.jpg




23.jpg
 
Тогда уже интегрировать все параметры по радиусу лопасти, как у Юрьева, Вильдгрубе и др.

подскажите на что нужно обращать особое внимание при расчете винта ( какие параметры нужно рассчитывать максимально точно и а какие можно в первом приближении ) , с оглядкой на Ваш опыт
 
Да просто считаете по методичке МАИ, получается довольно точно. А что именно хотите посчитать? То есть какие есть исходные данные и что нужно получить?
 
Да просто считаете по методичке МАИ, получается довольно точно. А что именно хотите посчитать? То есть какие есть исходные данные и что нужно получить?
я хоть еще и не дошел к этому но меня напрягает расчет маховых движений и резонансов + немножко напрягает расчет рв
 
Маховые движения и резонансы - это сложно. Хотя с современными расчетными системами возможно с определенной погрешностью Проще, наверное, сделать, испытать, замерить и если очень нужно изменить внести коррективы в конструкцию лопастей и втулки несущего винта. Резонансы просто замеряются на готовой втулке с лопастью с помощи вибратора и затем пересчитываются с учетом центробежки. Рулевой винт считается как и несущий, но с плоскими лопастями (без крутки). Его оптимизация в книге
См. стр.153, 193
 
Маховые движения и резонансы - это сложно. Хотя с современными расчетными системами возможно с определенной погрешностью Проще, наверное, сделать, испытать, замерить и если очень нужно изменить внести коррективы в конструкцию лопастей и втулки несущего винта. Резонансы просто замеряются на готовой втулке с лопастью с помощи вибратора и затем пересчитываются с учетом центробежки. Рулевой винт считается как и несущий, но с плоскими лопастями (без крутки). Его оптимизация в книге
См. стр.153, 193
а расчете рв меня больше беспокоит не ошибиться в необходимой тяге . но то такое ,как дойду до расчета тогда увидим .книжка огонь
 
что получилось , график зависимости Ct от угла атаки на разных участках лопасти при Vy=0,005 лопасть без крутки
32.jpg
 
Несколько вопросов:
В предыдущем посте Вы спрашивали про Сх, а рисуете графики для Ct.
Что это за параметр Ct и что это за Vy=0,005 лопасть без крутки ?

С помощью чего Вы рассчитывали и строили это семейство графиков?

Сколько секунд Вам потребовалось для расчета и построения этого семейства графиков для
график зависимости Ct от угла атаки на разных участках лопасти при Vy=0,005 лопасть без крутки

Посмотрите тему "Программа расчета несущего винта в режиме осевой обдувки"
Тема находится в разделе "Вертолеты".
Может это облегчит Ваши расчеты?
В той программе можно и рулевой винт посчитать если Вы задумали вертолет с рулевым винтом.
 
А причем предыдущий пост ? Какая связь ? Ct читай как Ст. У меня ноутбук не имеет на клавишах кирилицу потому иногда я пишу латиницей -просто быстрее
 
Назад
Вверх